变限积分,定积分,广义积分
高等数学吧
全部回复
仅看楼主
吧务
level 15
baqktdgt 楼主
定积分,变限积分,广义积分。
记录一些题型和解题的方法。
本人能力有限,所以题型不包含证明题。
2018年12月21日 01点12分 1
吧务
level 15
baqktdgt 楼主
二楼。
题目来自网上搜集和吧友提问。
如果解法有错误,请回帖指出。
2018年12月21日 01点12分 2
好多帖子啊,要怎么看。。
2020年09月15日 13点09分
高等数学证明题500例解析,万千合集站可以下载
2019年08月17日 13点08分
反常积分审敛法,在410楼有讲。
2020年06月06日 11点06分
吧务
level 15
baqktdgt 楼主
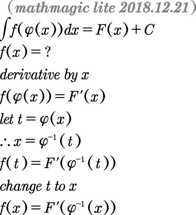
基础概念:
f(x)的不定积分是F(x)+C。
F(x)是f(x)的原函数。
f(x)是F(x)的导数。
2018年12月21日 01点12分 3
吧务
level 15
baqktdgt 楼主
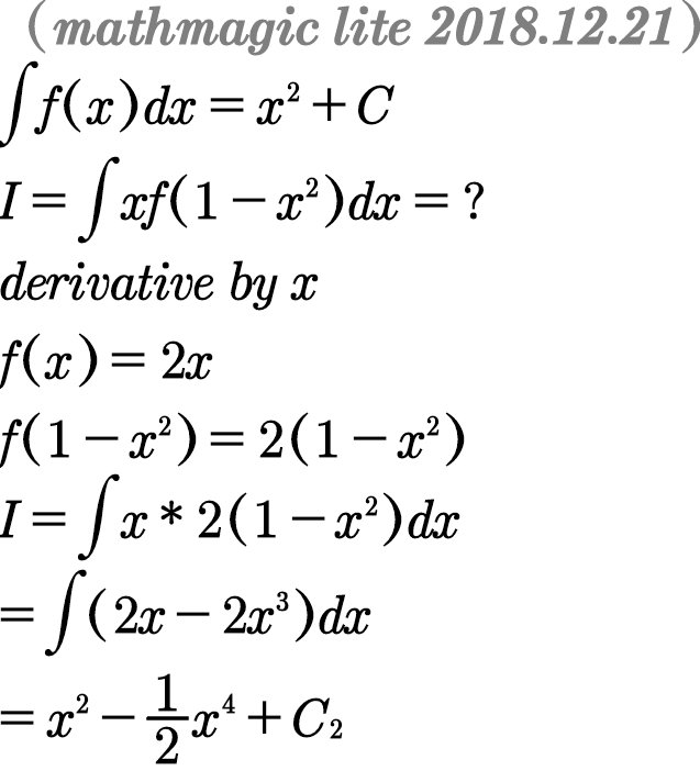
已知不定积分的值,求被积函数或被积函数中的一部分,利用两边求导处理。
2018年12月21日 01点12分 4
let t=&(x) x=&^-1(t) 这是怎么来的啊
2020年04月23日 02点04分
2020年04月23日 02点04分
吧务
level 15
baqktdgt 楼主
2018年12月21日 01点12分 5
吧务
level 15
baqktdgt 楼主
2018年12月21日 01点12分 6
level 10
楼主加油(ง •̀_•́)ง
2018年12月21日 01点12分 7
吧务
level 15
baqktdgt 楼主
已知导数值,求原函数,利用两边积分的方法处理
2018年12月21日 01点12分 8
吧务
level 15
baqktdgt 楼主
2018年12月21日 01点12分 9
吧务
level 15
baqktdgt 楼主
2018年12月21日 01点12分 10
@扶南heart 蓝色就是第一行的已知条件代入
2019年03月17日 02点03分
蓝色标记后面三步没看懂,大佬
2019年03月17日 02点03分
这个我知道,后面的第二行第三行怎么化的没看懂
2019年03月17日 02点03分
看懂了,忘了前面还有一个f.x
2019年03月17日 02点03分
吧务
level 15
baqktdgt 楼主
D表示可导,右上角如果有数字n表示n阶可导。
C表示连续。
2018年12月21日 02点12分 11
@小白想好学 函数和变量的字母是无关的。f(t)=t和f(x)=x和f(y)=y是同一个函数。
2018年12月21日 02点12分
想问一下,当t=o时,x不是等于1嘛?为什么f(t=0)还是等于0呢? 我没有看懂啊![泪]
2018年12月21日 02点12分
@baqktdgt 哦⊙∀⊙!初学,还是不太习惯[泪]
2018年12月21日 03点12分
看来要多多逛逛吧,多学习了[呵呵]
2018年12月21日 03点12分
level 9
看着这些,勉强看懂了,但还要多练习一下,才能熟悉,谢谢楼主分享[太开心][太开心][太开心]
2018年12月21日 02点12分 12
这都是最基础的。。
2018年12月21日 02点12分
@baqktdgt 想问一下,这是大一新生难度的,还是考研难度的?
2019年12月09日 09点12分
@淡寞如初 前面是大一新生难度。。后面是大一课后习题难度。。。再后面有一些是考研难度。
2019年12月09日 09点12分
@baqktdgt 谢谢
2019年12月09日 10点12分
level 11
你花这么多时间整理编辑这些帖子,说实话心里真的非常感激,尤其是我们这些入门玩家,真的感谢,真的很感谢
2018年12月21日 03点12分 13
level 6
很感谢
2018年12月21日 03点12分 14
感谢楼主![哈哈]
2019年07月18日 05点07分
吧务
level 15
baqktdgt 楼主
2018年12月21日 04点12分 15
@哭李1 y(0)=1 说明y不会恒等于0。
2019年12月06日 08点12分
这两个绝对值怎么没了,求解惑
2021年03月07日 15点03分
@攀 符号在±里面
2021年03月08日 00点03分
@baqktdgt 哦哦,谢谢大神[哈哈]
2021年03月08日 02点03分
1 2 3 4 5 6 尾页