椭圆周长近似公式
椭圆吧
全部回复
仅看楼主
level 8
zagjali
楼主
2018年02月13日 03点02分
1
level 8
zagjali
楼主
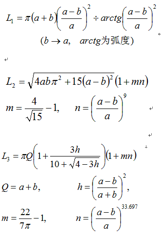
第一个公式,精度一般,
第二个公式,精度较好,适合中学生使用
第三个公式,精度很好,适合大学生使用。
2018年02月13日 04点02分
2
level 9
晓笨笨🌐
张先生第三个公式有推导过程吗
2018年02月20日 13点02分
3
zagjali
第三个公式,前半截公式是国外专家推导的,后半截公式(1+mn)是本人加上去的。前半截公式有缺陷,当b越趋向于0时,误差越大,后半截公式就是针对这个缺陷添加的修正公式,当b≥a/2时,修正公式可以忽略,以简化计算。
2018年02月20日 21点02分
level 9
晓笨笨🌐
某中学教师推导的
2018年02月21日 00点02分
5
zagjali
只能说是某教师改编的,还应该验证一下精度,
2018年02月21日 12点02分
晓笨笨🌐
网络上有该教师的好多关于椭圆周长的文章
2018年02月21日 12点02分
晓笨笨🌐
对!是改编的,
2018年02月21日 12点02分
晓笨笨🌐
可他已经把该公式写在百度百科上了
2018年02月21日 12点02分
level 8
zagjali
楼主
来一张椭圆参考值,有兴趣的可以自己对照一下:
2018年02月21日 13点02分
6
晓笨笨🌐
先生有心了
2018年02月21日 14点02分
level 8
zagjali
楼主
椭圆周长标准公式:
2018年02月26日 04点02分
7
晓笨笨🌐
你好,请给出上面那个你写的公式的具体推导过程
2018年02月26日 04点02分
晓笨笨🌐
是乎没什么规律?
2018年02月26日 13点02分
level 8
zagjali
楼主
标准公式展开式是由下面公式得到的,如果只写前几项,肯定会有规律性不强的感觉。
2018年02月27日 12点02分
8
level 9
晓笨笨🌐
主贴的公式都是楼主自己凑成的
2023年03月14日 16点03分
12
zagjali
公式1是试验型的,精度一般般;公式23是改进的,精度都很高,公式2比较适合学生使用,公式3比较适合工程师使用。
2023年03月18日 16点03分
晓笨笨🌐
@zagjali
都是楼主自己的公式吗
2023年03月18日 17点03分
level 13
◎粒子宇宙观察者25
世界第一精度的可积积分椭圆周长公式为
L=(4b²/a)∫(1,a/b){x²/√[(x²-1)(1-b²x²/a²)]}dⅹ,(0<b<a)。
2023年03月20日 12点03分
15
zagjali
跟六楼对照一下,就知道是不是世界第一了。
2023年03月20日 16点03分
◎粒子宇宙观察者25
@zagjali
a=10,b=1时 L=40.6397418010089574 255779310118165637913 130521345040594034059278192820071284259675758239248701752302179217041646532408989647524094905225113524310552 78
2023年03月20日 23点03分
zagjali
积分公式是标准公式,上面的公式都是几何近似公式,近代公式的优点就是简单,多数情况下一般工程也不需要很高的精度,
2023年03月22日 19点03分
level 9
晓笨笨🌐
一直在关注楼主,希望楼主的椭圆周长近似公式能更新
2023年04月02日 15点04分
17
1