求解
高等数学吧
全部回复
仅看楼主
level 6
为何离开🌟
楼主
求解
2019年10月07日 03点10分
1
吧务
level 15
baqktdgt
2019年10月07日 05点10分
3
Rrfgf🍪
老哥这是什么软件啊
2019年10月13日 12点10分
吧务
level 15
baqktdgt
从sin(9x)开始用和角公式降幂到sin(x)
2019年10月07日 05点10分
4
baqktdgt
@为何离开🌟
三倍角五倍角七倍角九倍角公式
2019年10月07日 06点10分
baqktdgt
sin(7x),sin(5x),sin(3x)都可以化为sinx的函数
2019年10月07日 05点10分
为何离开🌟
@baqktdgt
这个是一个考研老师的题,能否用考研的范畴解决呢。还是说有可能这个题的上限有问题。。。。。
2019年10月07日 05点10分
baqktdgt
@为何离开🌟
三角函数的和角公式是高中的公式,用高中知识难道有问题?
2019年10月07日 05点10分
吧务
level 16
你的眼神唯美
我用分部积分法做出来了,检查一下先。
2019年10月07日 05点10分
5
☞ლ🍒✨🌀芬
@你的眼神唯美
把上限化成兀,就是令x=t/2
2019年10月07日 06点10分
为何离开🌟
答案315分之128π
2019年10月07日 05点10分
你的眼神唯美
@为何离开🌟
爱神,
@☞ლ🍒✨🌀芬
2019年10月07日 06点10分
☞ლ🍒✨🌀芬
@你的眼神唯美
哦哦,什么题。
2019年10月07日 06点10分
level 11
司马骧苴
令x=π/2-t,dx=-dt,用掉这个─,积分限还原,有
[0,π/2]∫(π/2-t)(cost)⁹dt=..
.π/2∫ (cost)⁹dt─∫ t (cost)⁹ dt ? 这个不=[0,π/2]∫ -t (sint)⁹ dt
2019年10月07日 05点10分
6
为何离开🌟
我的问题就是这样,Sin,cos不等没法合并
2019年10月07日 05点10分
司马骧苴
也加不出什么易积的形式来.
2019年10月07日 05点10分
level 13
旸雨3
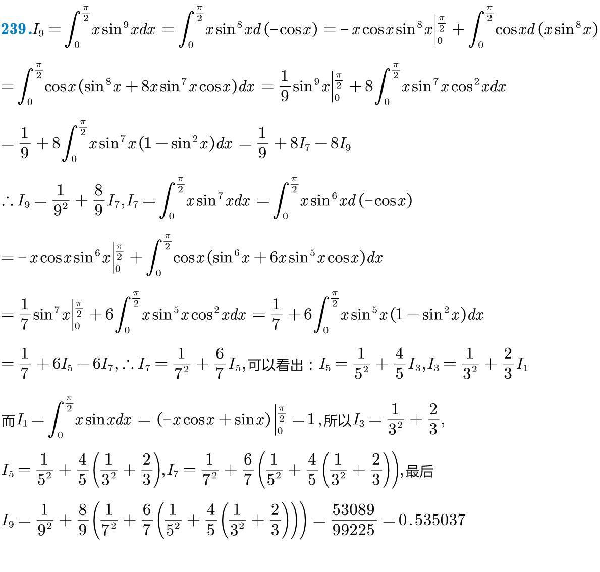
2019年10月07日 07点10分
7
☞ლ🍒✨🌀芬
还是你厉害👍。
2019年10月07日 07点10分
level 14
☞ლ🍒✨🌀芬
@你的眼神唯美
,
@baqktdgt
2019年10月07日 07点10分
8
旸雨3
搞个递推公式吧
2019年10月07日 07点10分
baqktdgt
2019年10月07日 07点10分
☞ლ🍒✨🌀芬
@旸雨3
那个递推公式太乱了,不好归纳出啊?
2019年10月07日 07点10分
旸雨3
@☞ლ🍒✨🌀芬
我在楼下试着写了一下
2019年10月07日 07点10分
level 13
旸雨3
2019年10月07日 07点10分
9
baqktdgt
2019年10月07日 07点10分
吧务
level 16
你的眼神唯美
真恶心。。。
2019年10月07日 07点10分
10
level 6
为何离开🌟
楼主
谢谢大佬们,非常感谢
2019年10月07日 08点10分
11
level 7
加2♂
我记着,宇哥讲过一个表格法
2019年10月08日 14点10分
12
伊卡慕斯小愛
表格法只对一次函数适用,这里是9次,需要降幂
2019年10月13日 13点10分
level 7
加2♂
直接写,最后一加得答案
2019年10月08日 14点10分
13
level 15
伊卡慕斯小愛
2019年10月13日 14点10分
14
吧务
level 16
你的眼神唯美
我发疯了。。
2019年10月13日 14点10分
15
你的眼神唯美
不要挖坟。。
2020年03月31日 00点03分
level 15
伊卡慕斯小愛
这个结果也挺华丽的。
2019年10月13日 14点10分
16
1