偏导数
高等数学吧
全部回复
仅看楼主
吧务
level 15
baqktdgt
楼主
本贴不回答任何问题。
本贴记录偏导数相关题目的解法,对题目解法有疑问请在楼中楼回复,我会解答。
2018年12月13日 06点12分
1
吧务
level 15
baqktdgt
楼主
二楼
2018年12月13日 06点12分
2
baqktdgt
93楼是一阶偏导数的三种常规解法。107楼是f(u,v)二阶为什么和一阶f(u,v)的u和v表达式是一样的。94楼和98楼是变量换元的偏导数的原理。
2019年04月21日 00点04分
吧务
level 15
baqktdgt
楼主
这里下标用的u,x,y。
也可以用1,2,3
2018年12月14日 10点12分
5
qijdlkajfl
f-{u}右上角不用打一撇吗
2019年12月02日 07点12分
baqktdgt
@qijdlkajfl
可以打,也可以不打。
2019年12月02日 07点12分
扶苏i▫
我想问一下,这个fx和fu里面的形式是什么样的,这个过程我明白,
2021年05月25日 02点05分
扶苏i▫
fx里面还是f(u,x,z)么?
2021年05月25日 02点05分
吧务
level 15
baqktdgt
楼主
f(x)和g(x)是一元函数。
隐函数求偏导数。
2018年12月14日 10点12分
7
渔歌讲给风听
请问f(x)和g(x)是一元函数能说明什么嘛
里面还是混杂了y z 呀
2019年02月27日 03点02分
baqktdgt
@渔歌讲给风听
f(u)的导数是f'(u)*u',这里的f只针对u求导,和x,y无关
2019年02月27日 03点02分
baqktdgt
@渔歌讲给风听
而u'和x和y是有关系的
2019年02月27日 03点02分
baqktdgt
@渔歌讲给风听
因为f'(u)和x,y均无关,只和u有关,所以可以简写为f'
2019年02月27日 03点02分
吧务
level 15
baqktdgt
楼主
F是三元隐函数,t是x和y的二元函数。
y是x和t的二元函数。
微分算法,解方程组。
2018年12月14日 10点12分
8
baqktdgt
t=t(x,y)并不是一个函数等式,他只是定义了t是x和y的二元函数,他的函数等式其实是隐函数F(x,y,t)=0。。。所以不可以对t=t(x,y)两边取微分。。。
2019年10月06日 00点10分
baqktdgt
t=t(x,y)更详细的理论解释看126楼。
2019年10月06日 00点10分
baqktdgt
这类方程组求导最方便的解法是微分解法,微分解法不需要关心谁是谁的函数,不用关心谁是自变量谁是因变量,所有变量全部平等对待,最后解方程组
2019年10月06日 01点10分
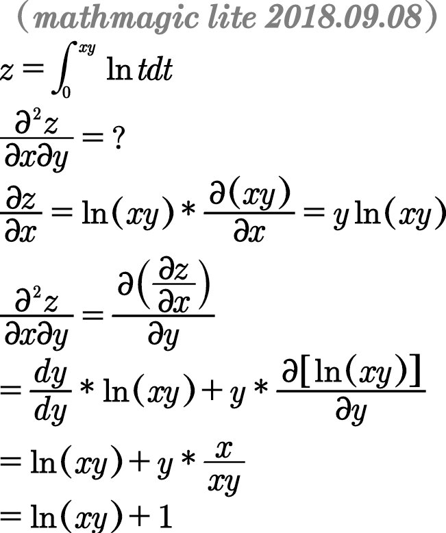
Python大师
求问第四行是怎么来的
2020年05月29日 00点05分
吧务
level 15
baqktdgt
楼主
2018年12月14日 10点12分
9
吧务
level 15
baqktdgt
楼主
2018年12月14日 10点12分
11
渔歌讲给风听
这个不只一种回答吧?我是直接(3dx-dy)=(2dx+dt)
2019年02月27日 08点02分
baqktdgt
@渔歌讲给风听
过程呢
2019年02月27日 08点02分
渔歌讲给风听
@baqktdgt
du=e^(3x-y)×[(2t+1)dt/(2x+1)+dt]
2019年02月27日 08点02分
baqktdgt
@渔歌讲给风听
没看懂
2019年02月27日 08点02分
吧务
level 15
baqktdgt
楼主
2018年12月14日 10点12分
12
渔歌讲给风听
∂(∂z/∂x)/∂x=∂(z/x+z)/∂x这个不是直接对x求导就行了吗?z题目里他不是关于x的函数,所以不是这个二偏导等于-z/(x+z)²吗
2019年02月27日 08点02分
baqktdgt
@渔歌讲给风听
z不是x的函数,那az/ax就直接为0了,这题目还有啥意义
2019年02月27日 08点02分
渔歌讲给风听
@baqktdgt
噢噢是的嗯嗯 谢谢
2019年02月27日 08点02分
6
大神打扰了,既然z是关于x的函数,那么求Fx的时候为什么可以把z当成常数处理? 我感觉在我做过的题目中好像关于F()对某个量求偏导时都可以把其他量当做常量。这是为什么呢?
2019年04月13日 15点04分
吧务
level 15
baqktdgt
楼主
经典的题目
2018年12月14日 10点12分
15
吧务
level 15
baqktdgt
楼主
2018年12月15日 03点12分
17
哎呦z🍭
这个为啥不是 f(x,y,z)=。。。 然后公式求导。
2019年05月07日 14点05分
baqktdgt
@哎呦z🍭
多种解法均可
2019年05月07日 15点05分
吧务
level 15
baqktdgt
楼主
后面省略号就没写了,自己代入一阶导,然后化简。
主要讲一下解题思路。
对方程组取微分,然后联立方程组,消去不需要的微分,求得一阶导。
二阶导就是对一阶导再求一次导,用商的求导法则。
2018年12月20日 00点12分
21
6
这题x和y是因变量?z是自变量?
2019年04月13日 04点04分
baqktdgt
@6
从题目要求上看,是这样的
2019年04月13日 05点04分
吧务
level 15
baqktdgt
楼主
u(x,y)的二阶偏导数连续。
解方程组。
2018年12月25日 02点12分
24
6
为什么根据第二行能快速得出u11=u22
2021年09月18日 07点09分
sr😘😜
u11=u22,为啥
2019年05月16日 13点05分
baqktdgt
@sr😘😜
题目给的已知条件
2019年05月16日 13点05分
baqktdgt
@6
二阶偏导数定义
2021年09月18日 11点09分
吧务
level 15
baqktdgt
楼主
2018年12月26日 10点12分
28
吧务
level 15
baqktdgt
楼主
2018年12月30日 14点12分
29
天之明亮
lz 这种抽象函数求微分有点看不懂
2020年11月05日 02点11分
吧务
level 15
baqktdgt
楼主
在z里,x和y是轮换对称的。
2019年01月02日 11点01分
30
1
2
3
4
5
6
尾页