交换积分次序和坐标系变换(含习题)
高等数学吧
全部回复
仅看楼主
吧务
level 15
baqktdgt
楼主
富比尼定理
镇楼
.
2018年11月27日 02点11分
1
吧务
level 15
baqktdgt
楼主
二楼
2018年11月27日 02点11分
2
吧务
level 15
baqktdgt
楼主
三楼
2018年11月27日 02点11分
3
baqktdgt
确定极坐标上下限的方法从122楼开始。
2019年01月28日 11点01分
baqktdgt
球坐标系三维图形,上下限确定方法,详见314楼。
2019年02月14日 02点02分
吧务
level 15
baqktdgt
楼主
本贴主要讲解。
二重积分的X型区域和Y型区域的互换。记录一些典型的题目。
极坐标的几种形式。柱坐标。
球坐标的几种形式。
雅可比,坐标系变换。
2018年11月27日 02点11分
4
baqktdgt
先积y,后积x,是X型区域。
2018年11月28日 02点11分
吧务
level 15
baqktdgt
楼主
这个楼层的楼中楼会做为本贴的导航目录。
2018年11月27日 02点11分
5
baqktdgt
31楼 积分区域方程何时可以代入被积函数。曲线(面)积分可以。多重积分不可以。
2018年12月03日 09点12分
baqktdgt
19楼:各种积分的对称性和轮换对称性。
2018年12月04日 11点12分
吧务
level 15
baqktdgt
楼主
X型区域,Y型区域。
还有三个典型的例题。
.
例15.3.2:
选择不同的积分顺序,计算的难易程度可能会有所差别。
.
例15.3.3:
对于一些二重积分,其中一个累次积分很难计算出二重积分的值,而另一个累次积分却能容易地算出二重积分的值。
.
例15.3.4:
对称性,几何意义也是经常使用的方法,能简化运算。
2018年11月27日 02点11分
6
level 11
鼻你太紧♂
Dd
2018年11月27日 02点11分
7
吧务
level 15
baqktdgt
楼主
二重积分的变量替换公式。
n重积分的变量替换公式。
雅可比行列式。
.
竖线的含义不同。
图一和图二,是对雅可比行列式的值取绝对值。
图三,是线性代数的行列式。
注意: 雅可比行列式中。
同一行是同一个因变量。
同一列是同一个自变量。
对于非数学专业的考研,一般对这几个公式不做要求,但是了解一下也是可以的,有时候能简化很多运算量。
记住广义极坐标的雅可比行列式的值。
记住广义球坐标的雅可比行列式的值。
2018年11月27日 10点11分
8
吧务
level 15
baqktdgt
楼主
标准圆的极坐标变换。
圆心在坐标原点。
(1)是整个圆。
(2)和(3)是半个圆。
直接将x和y的参数方程代入到表达式中,求出r的范围。
雅可比行列式的值是r,这个值要背住。就是图中最后一行。
2018年11月27日 11点11分
9
吧务
level 15
baqktdgt
楼主
椭圆,广义极坐标。
过原点,圆心在x轴和y轴的极坐标。
椭圆的雅可比行列式的值,也是要背的。
2018年11月27日 11点11分
10
依然特雷希
如果两个R不一样呢
2018年12月20日 04点12分
baqktdgt
@依然特雷希
两个R不一样就先坐标平移
2018年12月20日 04点12分
日月飞🔥
@baqktdgt
坐标平移是不是雅克比行列式为1的情况
2019年09月02日 07点09分
机智蛋与帅蛋
小吧,小吧,第一类曲面的的dS可以套用这个abr的结论吗?
2021年11月18日 05点11分
吧务
level 15
baqktdgt
楼主
标准球的球坐标变换。
球心在坐标原点。
雅可比行列式的推导看下一个楼层。
注意有一个角度是0到180度,另一个角度是0到360度。
2018年11月27日 11点11分
11
吧务
level 15
baqktdgt
楼主
椭球,广义球坐标。
过原点,球心在z轴的球坐标。
椭球的雅可比行列式的值,也是要背的。
2018年11月27日 11点11分
12
吧务
level 15
baqktdgt
楼主
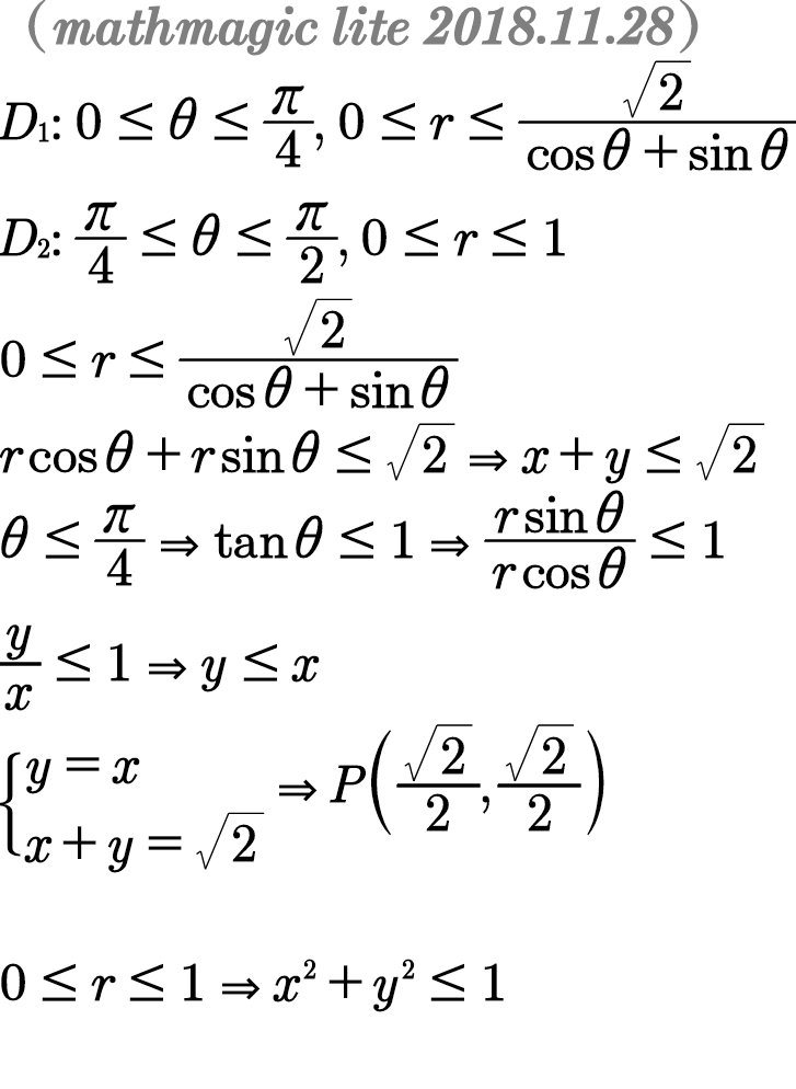
首先0<=r<=2,说明是个圆。
θ从0到45度。
45度是y=x的直线。
如图所示的区域。
然后要变成X型。
先求圆和直线的交点。因为x和y大于等于0,只有一个交点P。
然后X型区域,是做x轴的垂线进行区域分隔。分为D1和D2。
解方程求出上方曲线y的表达式,下方都是y=0。
2018年11月28日 02点11分
13
千禧年🍦🍒
666………所以r是指半径?
2018年11月28日 03点11分
baqktdgt
@千禧年🍦🍒
极坐标由r和θ构成,这是高中的知识
2018年11月28日 04点11分
吧务
level 15
baqktdgt
楼主
0到45度是等腰直角三角形。
45度到90度是扇形。
交点是P。
边界曲线求出来。
区域图画出来。
分区域,解出X型和Y型的表达式。
选D
2018年11月28日 03点11分
14
吧务
level 15
baqktdgt
楼主
区域图是一个正方形。
被积函数关于x和y都是偶函数,积分区域关于x轴和y轴都对称。
所以取第一象限,然后四倍。
然后进行坐标系变换。
先算出变换后的积分区域。
再算变换的雅可比行列式。
然后开始积分。
2018年11月28日 03点11分
15
鼻你太紧♂
求变换后的区域,可以把原区域的边界条件带入求出u,v的边界。画图,再写出新的积分区域。这样应该可以吧。
2019年03月05日 10点03分
鼻你太紧♂
我发现有的时候不知道解不等式组。
2019年03月05日 10点03分
baqktdgt
@鼻你太紧♂
可以的。
2019年03月05日 11点03分
1
2
3
4
5
6
尾页