区间再现公式和周期函数平移公式(含习题)
高等数学吧
全部回复
仅看楼主
吧务
level 15
baqktdgt
楼主
开一贴记录我做过的积分区间再现和周期函数平移。
公式图
镇楼
2018年10月11日 13点10分
1
吧务
level 15
baqktdgt
楼主
二楼备用
2018年10月11日 13点10分
2
Renascence_5
@baqktdgt
加啦
2019年03月22日 13点03分
吧务
level 15
baqktdgt
楼主
三楼备用
2018年10月11日 13点10分
3
baqktdgt
数一数二数三的考研同学,不仅需要把全部楼层全看明白,而且要弄懂并且掌握,最后还需要会熟练应用。有几个楼层是含参积分,数一数二数三不要求,我有在楼层中标注出来。
2019年07月10日 14点07分
baqktdgt
本贴中,所有的反常积分的收敛性证明均省略。。。在计算反常积分之前,请先证明积分收敛。
2019年12月19日 01点12分
是李大爷没错🐶
@baqktdgt
小吧太感谢了
2020年04月08日 11点04分
先祖莱布尼姿🐷
@baqktdgt
小吧真的感动
2020年04月30日 11点04分
吧务
level 16
你的眼神唯美
当x=0时,u=1,是应该用
when,还是where?
2018年10月11日 13点10分
4
你的眼神唯美
@龙山二路
一起点赞谢谢唉。
2019年09月19日 05点09分
你的眼神唯美
回复 龙山二路 :我只想说我有强迫症,唉,楼主的手机公式编辑器mathmagic留有太多空白格了,我恨不得把很多行合并在一起,当然选择大括号的一部分。唉。
2018年10月11日 14点10分
baqktdgt
when吧
2018年10月11日 13点10分
你的眼神唯美
我前年用的是when,但是去年去看过MSE就改了where。唉。
2018年10月11日 13点10分
吧务
level 15
baqktdgt
楼主
先证明公式3
2018年10月11日 13点10分
5
通信原理😍
@baqktdgt
大佬为什么不在电脑上码字。。那么多帖子手机上手敲,心疼。。
2020年09月10日 02点09分
xiangxi588
大佬用的什么软件?函数书写格式很完美
2019年07月02日 11点07分
baqktdgt
@xiangxi588
第一行是软件名称
2019年08月11日 05点08分
baqktdgt
@Qweazxvb
调换上下限
2020年10月22日 12点10分
吧务
level 15
baqktdgt
楼主
公式4证了一个式子。另一个式子同理可证。取另外一半区间然后换元可证
2018年10月11日 13点10分
6
baqktdgt
@杂鱼2号
把u(lower)笔误打成u(upper)了
2020年08月09日 01点08分
一个喵罐头✨
a,b的取值有限制吗?0 pai 可以取吗
2018年12月27日 10点12分
baqktdgt
@一个喵罐头✨
a和b只要不相等就可以。其他没有限制。
2018年12月27日 10点12分
杂鱼2号
开始证明的第五行是编辑错误吗
2019年10月23日 03点10分
吧务
level 15
baqktdgt
楼主
利用公式3,证明公式5
2018年10月11日 13点10分
7
贴吧用户_7MEbbe3
@RevWan
区间再现公式,定积分与不定积分的差别鄙人觉得除了分部积分法,最大的区别就是换元之后区间也会随之改变,拆区间~换元~同区间合并 这样。
2019年05月19日 06点05分
baqktdgt
自己动手把公式3写一下。a=0,b=π,f(x)积分=f(0+π-x)积分=f(π-x)积分,x就变为π-x了。或者直接用125楼的公式。
2019年04月11日 05点04分
洗铁路的呀
这个积分区间一定要是在(0,pai)吗。我做题目的时候,发现xsinx在(0,2pai)积分等于0,然后找到这个知识点,我试着算(pai,2pai)的区间,按照步骤写下来系数是3pai/2。
2020年05月18日 15点05分
baqktdgt
@洗铁路的呀
其他区间,请去看125楼
2020年09月04日 05点09分
吧务
level 15
baqktdgt
楼主
周期函数平移公式。
2018年10月11日 14点10分
8
baqktdgt
公式推广见93楼。
2019年01月25日 03点01分
baqktdgt
@皓月死神x
周期函数f(x+T)=f(x)
2019年03月25日 00点03分
2024拼尽所有
good
2019年05月13日 01点05分
公务员🍎
后面那个等式把b换成2b nb都是对的吧,只要相差T就行了
2019年08月25日 13点08分
吧务
level 15
baqktdgt
楼主
用公式4可以证明公式1和公式2
用公式2可以证明sinx的一个性质
2018年10月11日 14点10分
10
吧务
level 15
baqktdgt
楼主
2018年10月11日 14点10分
12
涵涵涵👀
哈哈哈张宇
2018年10月25日 03点10分
awsl✆☎☎
我的最新版的十八讲没有这个🌚 谢谢吧主
2019年07月12日 11点07分
花开前度
啊解决了我的一个大问题!谢谢楼楼~
2020年06月01日 10点06分
彩虹🌈的天空
啊谢谢楼主!
2022年09月23日 12点09分
吧务
level 15
baqktdgt
楼主
2018年10月11日 14点10分
13
baqktdgt
12楼和13楼是点火公式
2018年11月24日 07点11分
吧务
level 15
baqktdgt
楼主
2018年10月11日 14点10分
14
baqktdgt
@皓月死神x
换元换限,再换限,诱导公式。自己动手写一下
2019年03月25日 01点03分
枷锁wjd
@baqktdgt
你好,请问被积函数只能是关于sinx的平方的吗,三次方或高阶可以吗
2019年04月15日 13点04分
baqktdgt
@枷锁wjd
要正偶数次方。其实你自己动手在纸上把详细过程推导一遍就能清楚公式的适用条件。
2019年04月15日 13点04分
枷锁wjd
@baqktdgt
谢谢,推了负奇数次也是可以的吧
2019年04月15日 14点04分
吧务
level 15
baqktdgt
楼主
cosx的绝对值可以表示为f(sinx)
2018年10月11日 14点10分
17
baqktdgt
@公务员🍎
因为不满足cos(x)=cos(π-x)。但是sinx满足能sin(x)=sin(π-x)
2019年08月25日 13点08分
baqktdgt
@ok路明非绘梨衣
我觉得能用
2019年10月19日 14点10分
麦克斯莱布尼兹
没带绝对值的cosx可以看成f(sinx)吗
2019年03月18日 14点03分
baqktdgt
@麦克斯莱布尼兹
当然不行。
2019年03月18日 14点03分
吧务
level 15
baqktdgt
楼主
这个是奇函数,经常会碰到
2018年10月11日 14点10分
19
贴吧用户_7MEbbe3
大佬心得
2019年05月20日 06点05分
droggeljug
反双曲正弦
2019年09月30日 03点09分
绯蝶忧璃
谢谢大佬!!刚好遇到
2021年03月31日 01点03分
light😁😁
牛 这贴牛
2021年09月10日 01点09分
吧务
level 15
baqktdgt
楼主
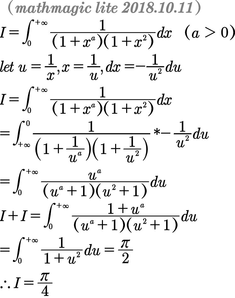
这种倒代换,也是常用的套路
2018年10月11日 14点10分
20
贴吧用户_7MEbbe3
这种倒代换在反常积分中经常使用,类比区间再现公式。
2019年05月20日 06点05分
baqktdgt
@xuxinhanan
主要为了凑出同样的积分限,多试验
2019年03月26日 00点03分
baqktdgt
@深海大柚子
因为换元了。换元必换限。换元u=1/x,x=0+时,u=正无穷,x=正无穷时,u=0。所以上下限就跟着变了
2019年03月26日 06点03分
考研数学计算机之路
想了下,其实也可以x=tant换元,积分限0到pi/2,再用区间再现,令t=pi/2-u,个人觉得思路比较自然
2019年08月28日 19点08分
1
2
3
4
5
6
尾页