一道题
不等式吧
全部回复
仅看楼主
level 1
jimmy939553081
楼主
一道题
2018年07月22日 00点07分
1
level 7
何时可掇♤
平方,减号柯西
2018年07月26日 09点07分
5
josh00♬
你说的是aczel吗
2018年09月03日 00点09分
吧务
level 15
ji23℃
证明 用
几何平均——算术平均不等式与
Cauchy不等式, 得
2018年07月29日 05点07分
10
吧务
level 15
ji23℃
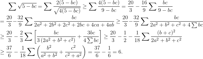
局部不等式 若正数a、b、c满足
a + b + c = 3, 则
2018年07月29日 07点07分
11
level 7
何时可掇♤
ji神大佬
2018年07月29日 12点07分
13
吧务
level 15
ji23℃
证明 用
几何平均——算术平均不等式与
Cauchy不等式, 得
2018年09月01日 08点09分
15
level 6
我要弄死tfboys
∑√(5-ab)≥0.5∑√-c^2+6c+11≥∑(c
+3
)/2=6
2018年09月01日 09点09分
16
level 1
神之召唤🌙
2018年09月02日 03点09分
17
level 9
虚无暗影神
交叉积用均值然后切线。。不知道行不行
2018年09月07日 04点09分
18
吧务
level 15
ji23℃
证明 用
算术平均——几何平均不等式与
Muirhead定理, 得
2018年09月14日 03点09分
19
level 1
神之召唤🌙
一般有
2018年09月14日 04点09分
20
1