话说有大佬想来讨论一下2018国121题嘛
数学吧
全部回复
仅看楼主
level 12
冬夏秋雪莲
楼主
先上下题目吧
这都是之前的东西了,本来考完试就应该扔掉这些题目啦,但是感觉如果这想法可以的话也许还可以为大家提供一些新的东西,所以还是发一下吧。貌似现在还没有人想做的样子。。
2018年06月12日 11点06分
1
level 15
ghj123h
下限犯规
2018年06月12日 11点06分
2
冬夏秋雪莲
其实是超无聊的东西来的,估计没几个人干这事
2018年06月12日 11点06分
level 12
冬夏秋雪莲
楼主
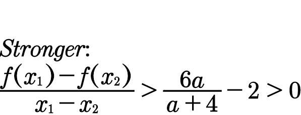
略为纳闷的是,通过对上述函数进行考察,我们似乎可以利用极值点偏移来证明右边,但是我偏不出来
理由是:一旦上述函数满足x1>x2,f(x1)<f(x2)时,原命题即得证
于是乎用个类似方法整个左边,貌似还是可行的。大概说就说这么多吧,等dalao们想一想。学高数去了
2018年06月12日 11点06分
3
冬夏秋雪莲
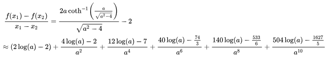
对了,此楼不用管了。。我忘记这个也是可以的了,利用x1x2=1,只不过比标答麻烦
2018年06月12日 11点06分
视觉设计师h
@冬夏秋雪莲
这种方法可以解出来不??
2018年06月12日 13点06分
冬夏秋雪莲
@视觉设计师h
可以,构造差函数f(x)-f(1/x)之后两个lnx反号放缩,很容易得出递减,因此易证x1>x2,f(x1)<f(x2),我高考就这么写辣
2018年06月12日 13点06分
希尔瓦拉斯_
第一感觉就是拉格朗日中值定理。
2018年08月01日 02点08分
level 15
KeyTo9
惊现
2018年06月12日 12点06分
6
冬夏秋雪莲
2018年06月12日 13点06分
level 13
🌸花曦心💖
2018年06月12日 12点06分
7
十三幺爱3
惊现大佬
以前各种Fancy积分解决好像都有大佬身影
2018年06月12日 12点06分
冬夏秋雪莲
我得回去重修下高数
2018年06月12日 13点06分
level 14
🍭吹🍭
您不是说"不会再爱导数题了"←_←
2018年06月12日 13点06分
8
冬夏秋雪莲
这个是在整理高中资料的时候偶然发现的,觉得算是高考题另解吧,发出来比就这么删掉好,但是对大家有多少用就不知了
2018年06月12日 14点06分
_一片澄海
@冬夏秋雪莲
dalao的高中资料可真特殊啊....
2018年06月13日 12点06分
冬夏秋雪莲
@_一片澄海
说是整理高中资料,其实也只是把过去自己瞎搞的题目和下载的试卷删掉而已。话说CC大佬有没有把高中公式推完了
2018年06月13日 13点06分
_一片澄海
@冬夏秋雪莲
不存在什么dalao的23333现在在自学高数呢你呢
2018年06月13日 14点06分
level 4
宋恪礼💤
加细
2018年06月18日 17点06分
11
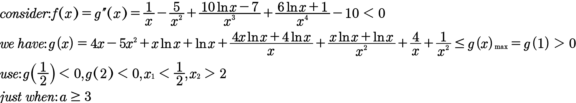
冬夏秋雪莲
不错哦,不过关键不是第二个才对嘛
2018年06月19日 07点06分
宋恪礼💤
回复 永远º三日天下 :
2018年06月19日 10点06分
冬夏秋雪莲
@宋恪礼💤
现在有纸了,我写写看吧
2018年06月19日 13点06分
宋恪礼💤
@冬夏秋雪莲
化为单元
2018年06月19日 14点06分
level 12
冬夏秋雪莲
楼主
2018年06月19日 13点06分
13
level 4
宋恪礼💤
11L可以这样
2018年06月19日 15点06分
14
冬夏秋雪莲
刚看到
不过这精度。。。
2018年06月19日 15点06分
1