大学生求助,这道题怎么做?
数学吧
全部回复
仅看楼主
level 5
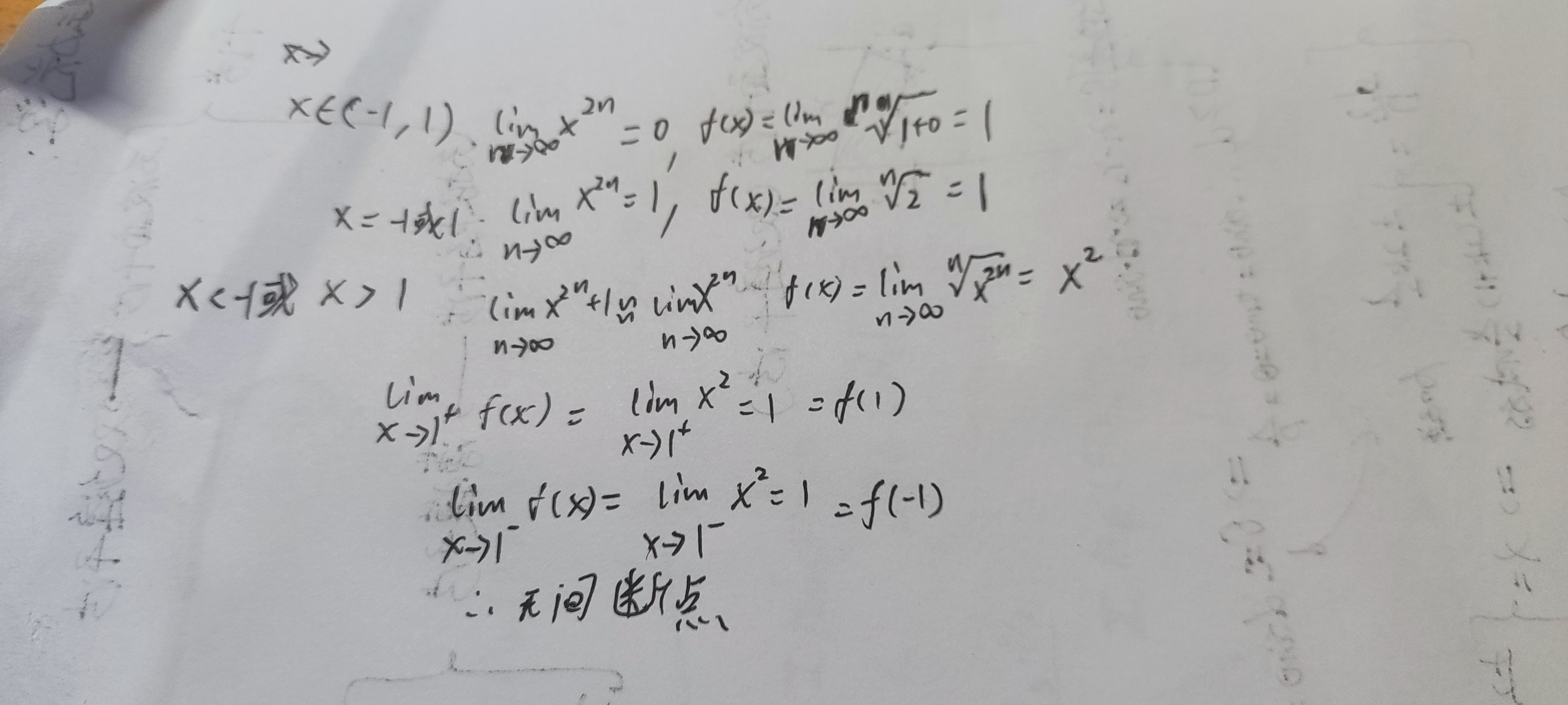
BoatΩ 楼主
今天晚上11点就截止了[小乖]。附我自己的解法,请指正。
2022年10月24日 11点10分 1
level 5
BoatΩ 楼主
2022年10月24日 11点10分 2
level 5
BoatΩ 楼主
求求大家看看。
2022年10月27日 08点10分 3
1