小弟用maple解方程花间遇到棘手问题,求高手指点
maple吧
全部回复
仅看楼主
level 1
xingkong0871
楼主
接楼下
2010年05月05日 15点05分
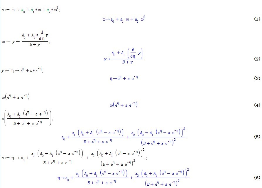
1
level 1
xingkong0871
楼主
2010年05月05日 15点05分
2
level 1
xingkong0871
楼主
2010年05月05日 15点05分
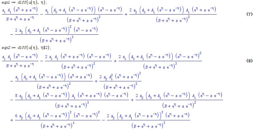
3
level 1
xingkong0871
楼主
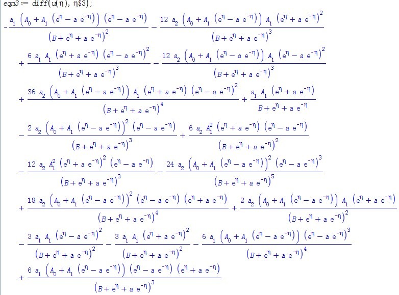
最后小弟执行以下语句
2010年05月05日 15点05分
4
level 10
Feyd_Rautha
diff(u,theata)
2010年05月06日 08点05分
5
1