【实验分析】氢原子精细结构严格解
cloudk吧
全部回复
仅看楼主
level 13
CloudK 楼主
我一个同学在家里自己弄了个用软件做氢原子精细结构分析(真是强人=_=),要我帮他做一下理论部分的验证...写来写去算了一大堆...本来想都整理出来的,不过工作量实在太大,另外人家是要做论文的,一些东西也不方便发上来。所以最后还是把最基本的部分整理出来,堆放在这了~
2010年02月10日 05点02分 1
level 13
CloudK 楼主
氢原子精细结构的实验原理:
2010年02月10日 05点02分 2
level 13
CloudK 楼主
2
2010年02月10日 05点02分 3
level 13
CloudK 楼主
3
2010年02月10日 05点02分 4
level 13
CloudK 楼主
4
2010年02月10日 05点02分 5
level 13
CloudK 楼主
5
2010年02月10日 05点02分 6
level 13
CloudK 楼主
6
2010年02月10日 05点02分 7
level 13
CloudK 楼主
7
2010年02月10日 05点02分 8
level 13
CloudK 楼主
8
2010年02月10日 05点02分 9
level 13
CloudK 楼主
9
2010年02月10日 05点02分 10
level 13
CloudK 楼主
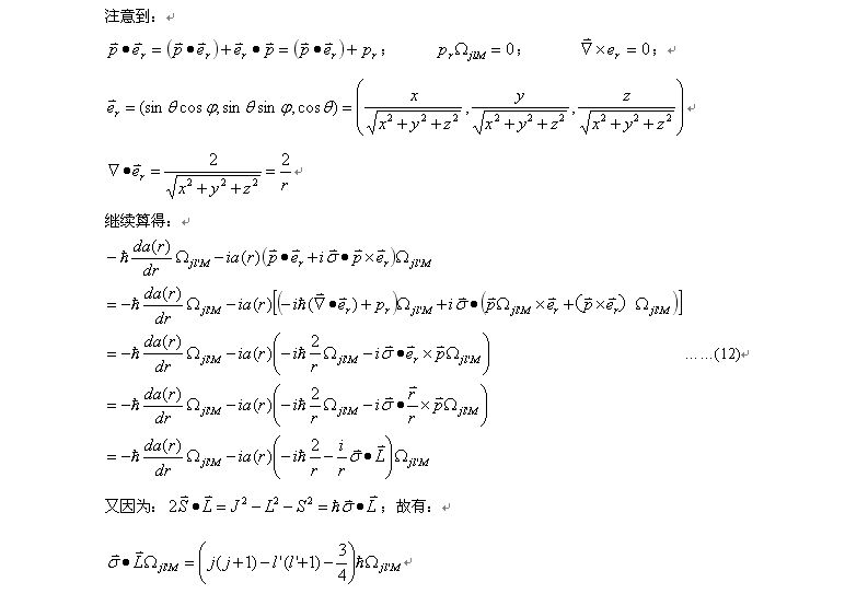
10
2010年02月10日 05点02分 12
level 13
CloudK 楼主
11
2010年02月10日 05点02分 13
level 13
CloudK 楼主
End~~
总算是弄完了...Dirac Eq的低能极限等下一篇帖子再整理~~
不过想起了以前一位教授说的一个问题。虽然Dirac Eq给出了氢原子以及类氢原子的精细结构能谱的表达式,却禁止了原子序数大于137的原子存在。原因在于若Z>137,则:
1-Z^2α^2
这就导致基态的时候(κ=1)κ^2-Z^2α^2<0;此时能量成了个虚数...这个问题一直比较奇怪,因为非相对论的情况下,是不会禁止Z>137的原子存在的。可能是某一步非相对近似的时候,把这个现象近似没了,或者Dirac Eq本身对这个问题而言还存在缺陷...总之就是比较奇怪~~
2010年02月10日 05点02分 14
level 13
CloudK 楼主
因为最近要用这个帖子,故而把无关的楼层暂时删除了~见谅~~
2010年02月21日 10点02分 25
level 13
CloudK 楼主
额~这个暂时不能沉,算了,干脆置顶了...=_=
2010年02月22日 17点02分 26
level 13
CloudK 楼主
额~用完了~取缔了~
2010年02月24日 13点02分 27
level 5
Mark~
2010年03月19日 11点03分 28
1