吧务
level 15
baqktdgt
楼主
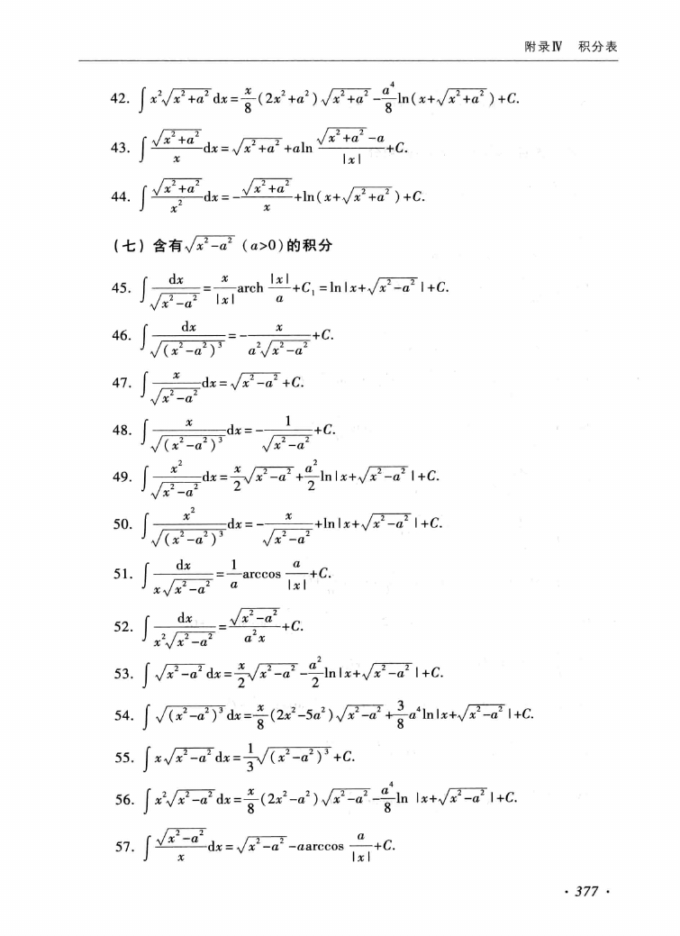
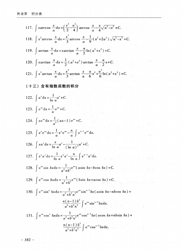
高等数学积分表147个积分公式推导
.
在我更新完147个公式之前,请不要插楼。
积分入门的基础知识,请去下面的不定积分入门的那个贴子里面了解一下。
.
附上其他贴子的链接:
不定积分入门 :https://tieba.baidu.com/p/5955286682
定积分,变限积分,广义(反常)积分:https://tieba.baidu.com/p/5984476307
区间再现公式和周期函数平移公式:https://tieba.baidu.com/p/5910636585
定积分的应用:https://tieba.baidu.com/p/6181726100
二重积分:https://tieba.baidu.com/p/6118992094
三重积分:https://tieba.baidu.com/p/6121727586
曲线积分:https://tieba.baidu.com/p/6132881428
曲面积分:https://tieba.baidu.com/p/6133855435
斯托克斯公式:https://tieba.baidu.com/p/6139471870
2019年09月03日 06点09分
1
.
在我更新完147个公式之前,请不要插楼。
积分入门的基础知识,请去下面的不定积分入门的那个贴子里面了解一下。
.
附上其他贴子的链接:
不定积分入门 :https://tieba.baidu.com/p/5955286682
定积分,变限积分,广义(反常)积分:https://tieba.baidu.com/p/5984476307
区间再现公式和周期函数平移公式:https://tieba.baidu.com/p/5910636585
定积分的应用:https://tieba.baidu.com/p/6181726100
二重积分:https://tieba.baidu.com/p/6118992094
三重积分:https://tieba.baidu.com/p/6121727586
曲线积分:https://tieba.baidu.com/p/6132881428
曲面积分:https://tieba.baidu.com/p/6133855435
斯托克斯公式:https://tieba.baidu.com/p/6139471870

























