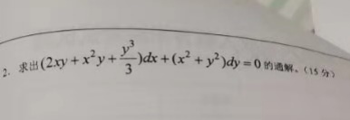
求助一道微分方程
高等数学吧
全部回复
仅看楼主
level 12
迈瑟马提克💫
楼主
求助一道微分方程
2019年08月09日 14点08分
1
level 12
迈瑟马提克💫
楼主
~
2019年08月09日 14点08分
2
level 12
迈瑟马提克💫
楼主
求救
2019年08月09日 14点08分
3
吧务
level 15
baqktdgt
我的微分方程贴46楼有理论知识。
.
2019年08月09日 14点08分
4
迈瑟马提克💫
谢小吧大佬
2019年08月09日 14点08分
1