请问各位现在这个式子有没有错误?
mathematica吧
全部回复
仅看楼主
level 1
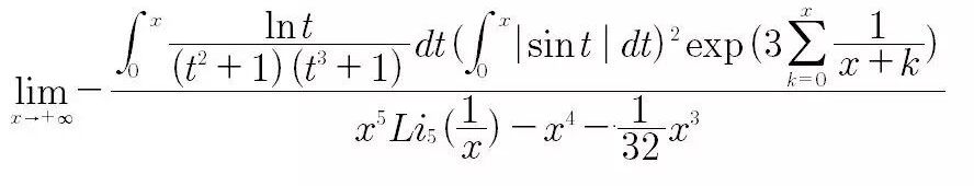
输入
原式
2019年08月07日 13点08分 1
level 1
(除了那个负号
2019年08月07日 13点08分 2
level 1
Limit[((\!\(
\*SubsuperscriptBox[\(\[Integral]\), \(0\), \(x\)]\(
\*FractionBox[\(Log[E,t]\), \(\((
\*SuperscriptBox[\(t\), \(2\)] + 1)\)*\((
\*SuperscriptBox[\(t\), \(3\)] + 1)\)\)] \[DifferentialD]t\)\))*(\!\(
\*SubsuperscriptBox[\(\[Integral]\), \(0\), \(x\)]\(Abs[
Sin[t]] \[DifferentialD]t\)\))^2*(Exp[
3*(Sum[1/(x + k), {k, 0, x}])]))/((x^5*PolyLog[5, 1/x]) - x^4 -
x^3/32), x -> +\[Infinity]]
2019年08月07日 13点08分 3
level 1
算了半天还是出不来,请问能改吗...
2019年08月07日 14点08分 4
level 12
要加一个条件
2019年08月08日 08点08分 5
谢谢..[真棒]
2019年08月18日 11点08分
1