求助 同样的程序为何第二个得不到正确解。想得到跟左边一样的向
mathcad吧
全部回复
仅看楼主
level 3
lkwd01
楼主
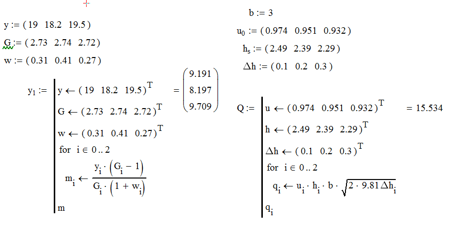
求助 同样的程序为何第二个得不到正确解。想得到跟左边一样的向量怎么办
2019年07月12日 09点07分
1
level 3
lkwd01
楼主
如果设置成函数,每次更换自变量也是能求的。但是不想那么麻烦,想用向量一次求解,要怎么修改啊?为何左边的就能出正确解呢?谁帮我@一下月城大佬
2019年07月12日 10点07分
2
level 6
亮子505
q 下标
2019年07月12日 23点07分
3
lkwd01
还真是数组下标的问题。为啥加上数组下标只出最后一个数代入的结果?
2019年07月14日 02点07分
亮子505
@lkwd01
循环完i等于2 结果就是q2
2019年07月16日 05点07分
1