吧务
level 15
baqktdgt
楼主
微分方程的算子解法。
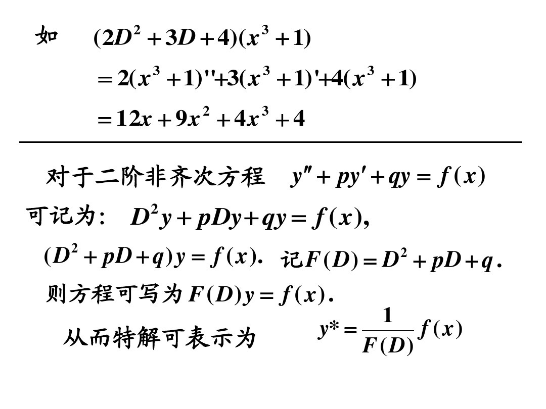
常系数线性微分方程的算子解法。主要是非齐次微分方程的特解求法。
.
微分方程的基础知识见下面的链接。
微分方程常见问题: https://tieba.baidu.com/p/6066888186
2019年06月24日 00点06分
1
常系数线性微分方程的算子解法。主要是非齐次微分方程的特解求法。
.
微分方程的基础知识见下面的链接。
微分方程常见问题: https://tieba.baidu.com/p/6066888186
























































