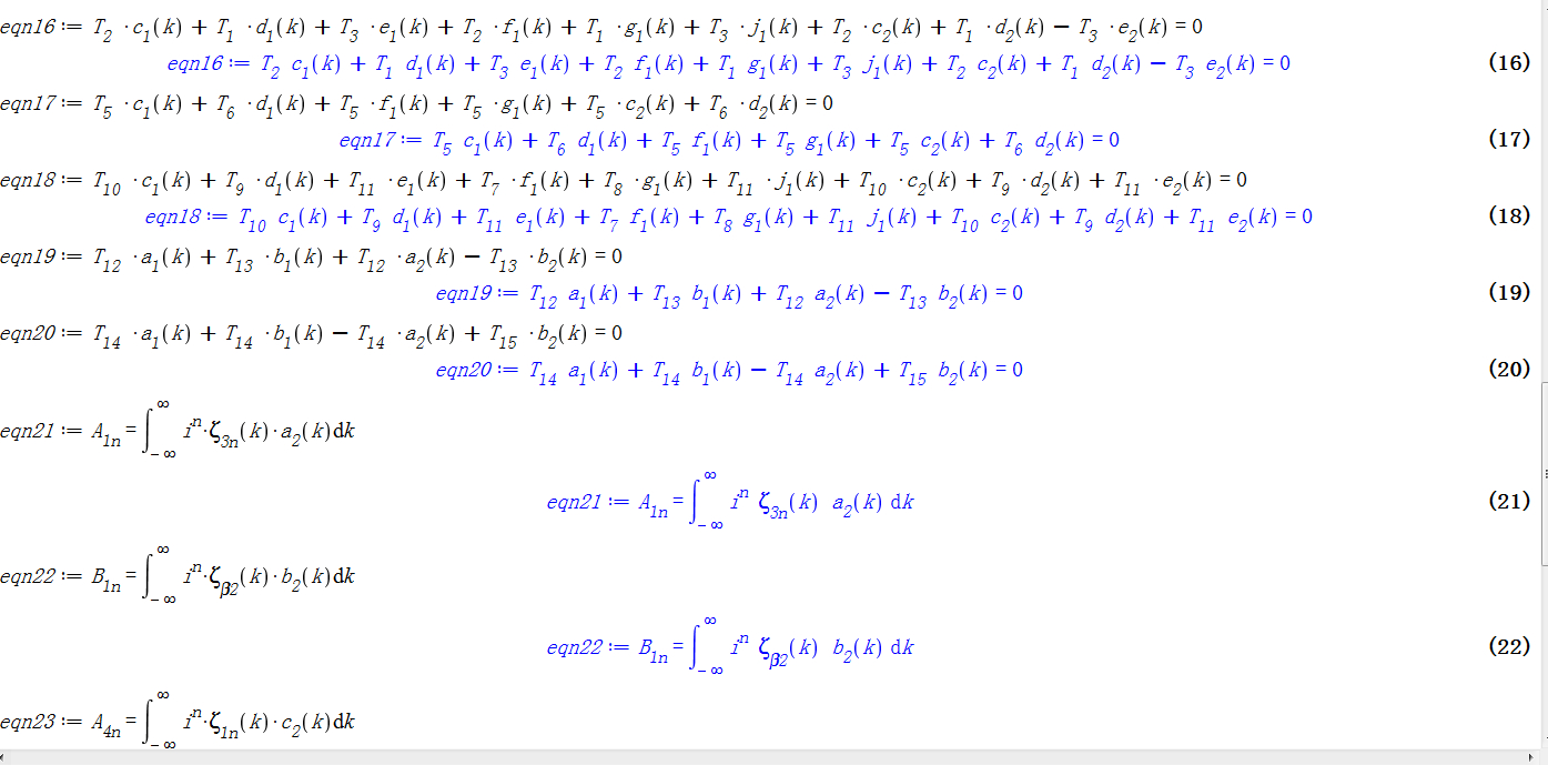
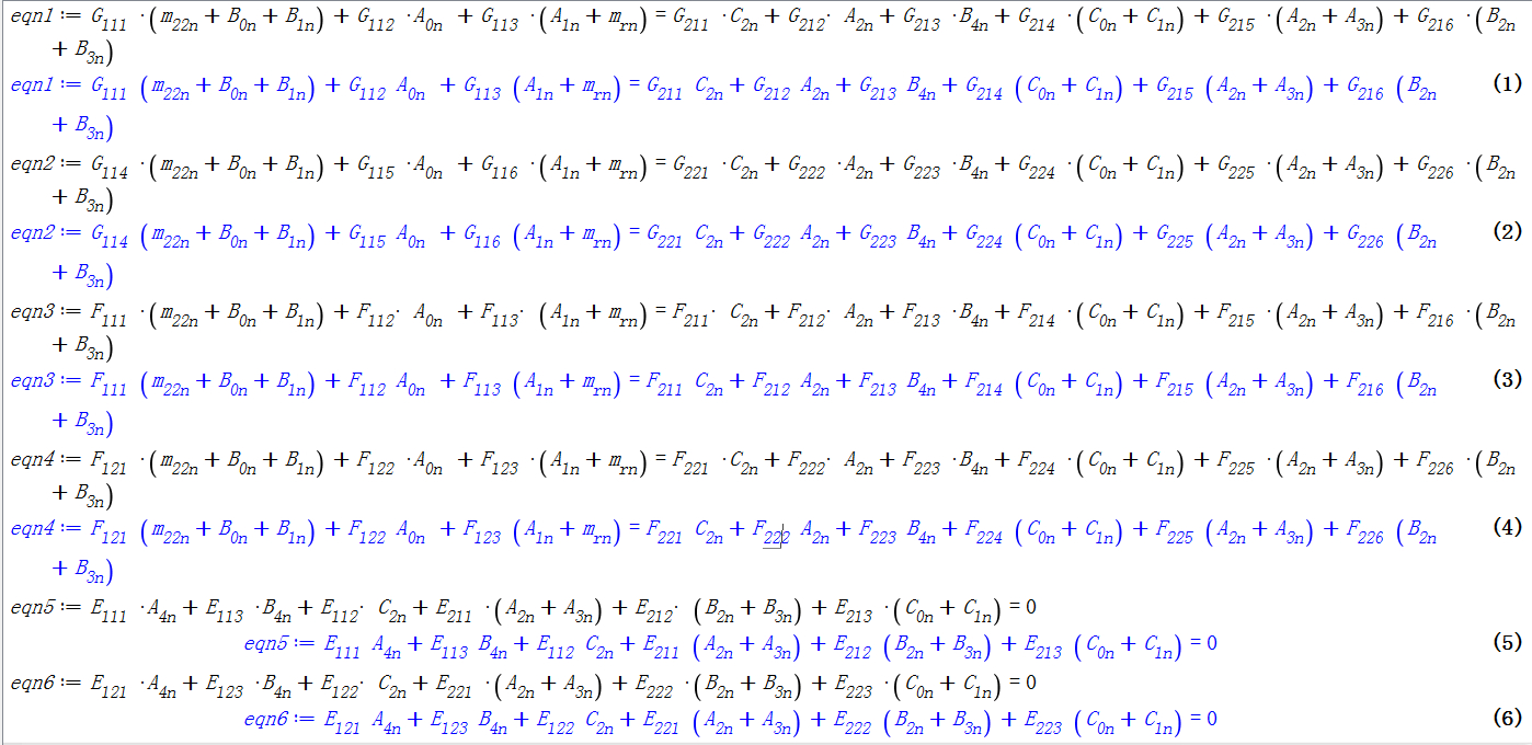
25个方程联立了以后为什么软件不能求解
maple吧
全部回复
仅看楼主
level 1
南储彬☞☞☞
楼主
这25个方程联立了以后为什么软件不能求解,请大神帮忙看看,这个对我来说很重要,谢谢
2019年06月07日 08点06分
1
level 1
Stupid_kfpanda
啊啊啊啊啊,我也遇到类似的问题了。maple压根就不算,就返回个表达式
2019年06月09日 02点06分
2
南储彬☞☞☞
你最后是怎么处理的啊?
2019年06月09日 02点06分
Stupid_kfpanda
我也不会处理啊,我的方程还比你简单,就6个
2019年06月10日 00点06分
Stupid_kfpanda
怎么加好友,微信吗
2019年06月10日 00点06分
cgqh1
这个是怎么处理呀
2020年01月03日 13点01分
level 1
就是不想见60
吴消元法 程序包有么
2020年03月27日 14点03分
3
level 2
贴吧用户_QJE9G1C
楼主现在肯定解决了吧能告诉我为啥嘛?我现在遇到了同样的问题
2020年04月18日 14点04分
4
level 1
煮蛋机的🐷
那也遇到了QAQ想请问大家,对于这种几个字母多项式的联立方程,求解对应表达式的问题,maple能够求解处对应的关系表达式吗?不可以的话,还有其他什么软件可以实现公式的联立推导呀
2020年12月29日 13点12分
5
1