求助,这样标准的PDE式子在mathematica中如何键入?
mathematica吧
全部回复
仅看楼主
level 1
孤寂的冬夜
楼主
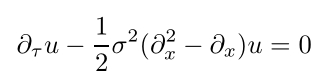
如图,如果不使用函数D[],使用类似这样的的命令格式,
怎么输入上面这样的式子?我试着这样输入,但mathematica并没有进行计算,用函数D[]输入就可以。
2019年04月29日 02点04分
1
level 5
贴吧用户_QV211MK
用traditionalform显示一样的
2019年04月29日 12点04分
2
孤寂的冬夜
谢谢回复!用Traditionalform只能显示,不能进行计算,我希望用类似traditionalform形式输入,并且计算
2019年04月30日 11点04分
吧务
level 15
xzcyr
非要用算子就用程序包吧。参这帖的27楼:
https://tieba.baidu.com/p/3192937406
2019年05月04日 05点05分
3
1