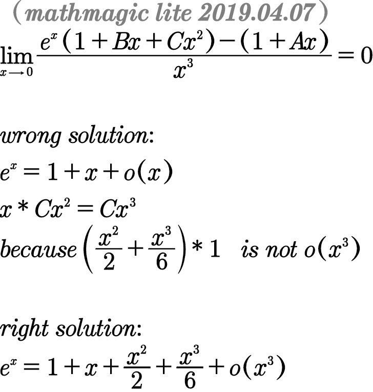
泰勒公式一定要自己动笔去写,多写才能熟悉。
.
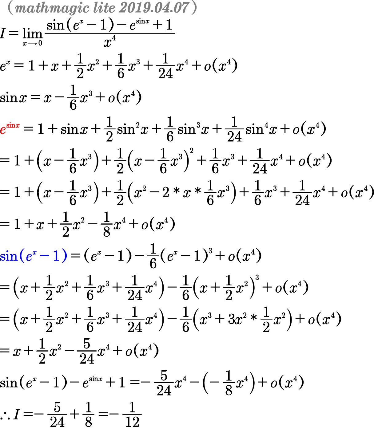
上下同阶。
分母是四阶,所以分子也展开到四阶。
将超过四阶的全部放到o(x^4)里面,不用写出来。
.
红色的展开:
sinx和x是同阶无穷小,所以e^x需要展开到四阶,才能保证是o(x^4)。
红色下一行:
(sinx)^2,用一下完全平方公式,第三项超过四阶,直接省略不写。
(sinx)^3里面,如果sinx展开到三阶,剩下两个sinx至少一阶,相加是五阶,所以sinx在此处展开到一阶就够了。
同理,(sinx)^4里面的sinx只需要展开到一阶。
.
蓝色的展开:
e^x-1和x是同阶无穷小,所以sinx需要展开到四阶,才能保证是o(x^4)。
蓝色下一行:
(e^x-1)^3里面,如果e^x-1展开到三阶,剩下两个e^x-1至少一阶,相加是五阶,所以e^x-1在此处展开到二阶就够了。
(e^x-1)^3,用一下和立方或差立方公式,第三项开始已经超过四阶,直接省略不写。
.
