毕业设计求助 如何在simulink中搭建如图结构?如何化简?
simulink吧
全部回复
仅看楼主
level 1
bd_ymy
楼主
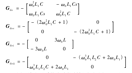
Gx是一系列2*2的矩阵 例如
如何求 △I2到△Ug的抽象传函,得到下面的形式?
需要用什么模块呢?可以在liner analysis中得到我需要的抽象传函吗?
2019年04月06日 08点04分
1
level 1
璐村惂鐢ㄦ埛_5XKJbDV馃惥
我可以帮忙指导,私你了。
2019年04月06日 09点04分
2
level 1
大大大下士
具体要求有吗?详询:四、 零 、伍 、伍 、二、、伍、、八、、六、、二
2019年04月07日 03点04分
10
level 1
贴吧用户_0M3y8ZJ
会的,matlab仿真的
2019年04月07日 07点04分
11
1