PSCAD建模中遇到时变电阻参数设置的问题???求帮助
pscad吧
全部回复
仅看楼主
level 1
尾旋余梦
楼主
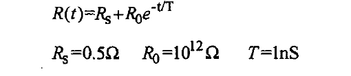
怎么对RT元件设置参数,参数如下,主要是R0那个参数不会设置,还有那个变量怎么设置??跪求大佬
2019年04月01日 15点04分
1
level 6
liuhd🐯
私信联系
2019年06月15日 05点06分
2
程毛毛0
有没有用pscad搭建的Mayr电弧模型
2019年07月08日 02点07分
程毛毛0
有没有用pscad搭建的Mayr电弧模型
2019年07月08日 02点07分
贴吧用户_Q9UUSE2
同求电弧模型
2020年04月30日 06点04分
level 1
喝乌古月
碰到了类似的问题,想请教一下楼主是怎么解决的,谢谢!!
2019年07月27日 12点07分
3
level 1
仓颉的风筝
2019年10月03日 07点10分
4
level 1
我加油80
请问楼主,问题解决没,能不能分享一下。
2019年11月23日 06点11分
5
level 2
风雷雨电子
大佬,我也遇到这个问题了,求教
2023年06月09日 07点06分
6
1