提前给各位拜个年
数学吧
全部回复
仅看楼主
level 12
冬夏秋雪莲
楼主
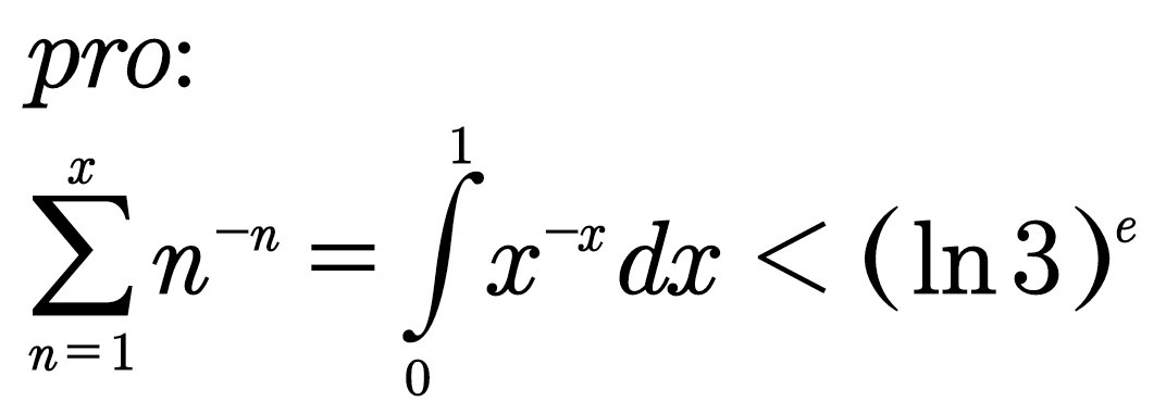
各位新年快乐
防水
2019年01月30日 04点01分
1
level 15
forever豪3
这个精度又是多少
2019年01月30日 05点01分
2
冬夏秋雪莲
5位而已,是我新年准备送出去的红包数量(误)
2019年01月30日 06点01分
Imsane-
求和的上限为什么是 x 啊.
2019年01月30日 06点01分
forever豪3
@Imsane-
大概打错了,应为正无穷
2019年01月30日 06点01分
冬夏秋雪莲
@Imsane-
呃,抱歉,是打错了,上限是∞,可以理解为limx→∞ n^(-n) sum 1 to x
2019年01月30日 06点01分
level 11
Delver
这个精度
你真的是玩上瘾了
2019年01月30日 06点01分
3
冬夏秋雪莲
2019年01月30日 06点01分
level 15
ghj123h
说着楼主又拿出了一道题
2019年01月30日 08点01分
4
冬夏秋雪莲
我的题掏出来比你的还多。。不管了先开花再说
2019年01月30日 12点01分
吧务
level 13
斯普林格拉斯
2019年01月30日 09点01分
5
冬夏秋雪莲
驿外妹妹的头像真的好可爱啊
2019年01月30日 12点01分
斯普林格拉斯
@冬夏秋雪莲
调侃我?
2019年01月31日 16点01分
level 1
贴吧用户_0aVJM73
怎么求解啊。使用定义法嘛
2019年01月31日 05点01分
6
level 7
千朝一梦尽成空
由计算器得原式成立
Q.E.D.
2019年01月31日 09点01分
9
level 11
白☁️山人
兄啊你这id🤔
2019年01月31日 10点01分
10
level 13
我是谁谁谁的小号
这什么几⑧玩意
2019年01月31日 11点01分
11
level 13
北原春希◎
用级数吗
2019年02月05日 02点02分
12
level 11
花生羊羹
怎么做
2019年02月05日 07点02分
13
level 13
但是法官……
菲赫金哥尔茨第二卷讲过
2019年06月24日 10点06分
15
1