各路大神,谁能告诉我,这个代码是为了实现什么,解读一下
mathcad吧
全部回复
仅看楼主
level 1
曲奇三国12345
楼主
各路大神,谁能告诉我,这个代码是为了实现什么,解读一下
2019年01月10日 03点01分
1
level 1
曲奇三国12345
楼主
从while以后就看不懂了,主要是解读一下逻辑,不需要指导具体内容
2019年01月10日 03点01分
2
level 1
曲奇三国12345
楼主
有人知道么
2019年01月10日 04点01分
3
loupoo2
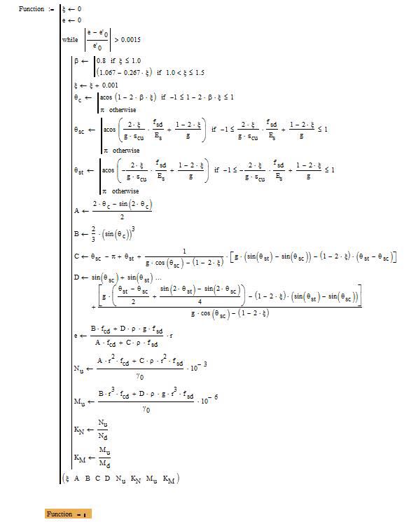
这个就是原桥梁规范计算圆形偏压截面承载力的一个循环(通过控制偏心距的误差来求出系数ABCD)。现在这个公式没用了。其实直接用求解块就可以求出来的
2019年01月11日 01点01分
不知疲倦的恒星
@loupoo2
你好,新规范的公式你编出来没,我搞不懂角度迭代这块,能不能指导一下
2019年01月16日 05点01分
不知疲倦的恒星
期待大佬回复~
2019年01月16日 09点01分
曲奇三国12345
@loupoo2
能不能给个新规范的代码
2019年01月19日 17点01分
level 1
不知疲倦的恒星
请问你搞明白没,我也看到这里,搞不清楚
2019年01月16日 09点01分
4
1