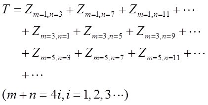
做一个条件求和,求大神指点
mathematica吧
全部回复
仅看楼主
level 1
非非主流fun
楼主
做一个条件求和,求大神指点
2018年12月16日 13点12分
1
吧务
level 15
xzcyr
Mathematica的循环指标是可以相互依赖的,举个例子:
Sum是一样的道理。
2019年01月05日 08点01分
2
level 1
非非主流fun
楼主
感谢指点
2019年01月05日 15点01分
3
1