请教各位吧友,这个四元常微分方程得不到解
mathcad吧
全部回复
仅看楼主
level 2
小树叶过河😂
楼主
化简成两个未知数时也解不了,请问这是怎么回事?
2018年10月31日 11点10分
1
level 2
小树叶过河😂
楼主
使用的软件就是贴吧下载的,得不到解是不是方程本身有问题,还是**作问题呢。试了一个二元方程很轻松就解出来了
2018年11月02日 03点11分
3
level 3
dd966815home
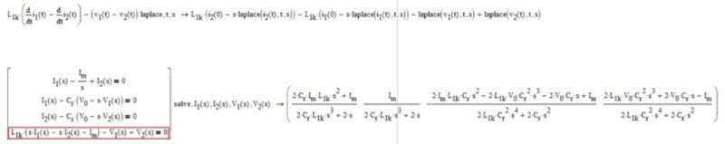
就2个方程要解4个参数
2018年11月02日 11点11分
4
level 3
dd966815home
不知对不对
2018年11月02日 11点11分
5
小树叶过河😂
结果应该也是对的,里面△t是什么呢。
2018年11月04日 01点11分
level 2
小树叶过河😂
楼主
原文是这么写的
2018年11月03日 01点11分
6
level 15
月城翁
2018年11月03日 12点11分
7
level 15
月城翁
2018年11月03日 12点11分
8
月城翁
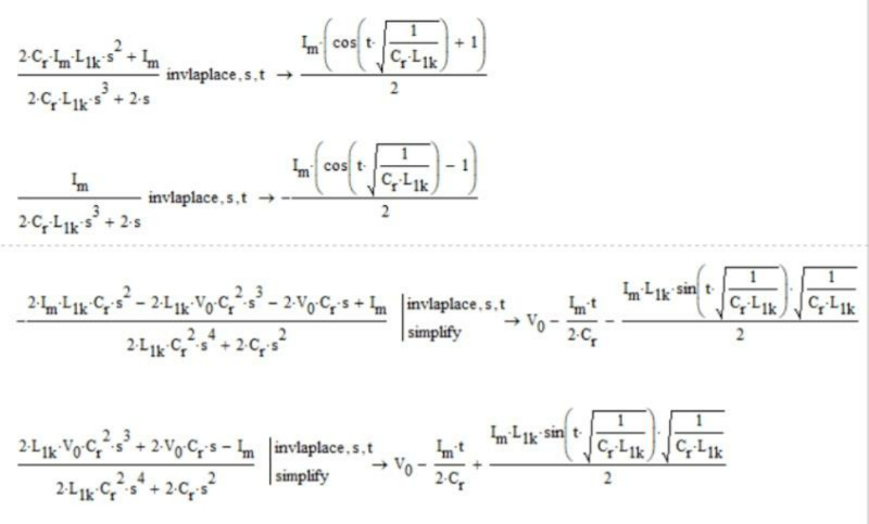
奇怪的是,红框中的表达式换一种等效的写法,就可能找不到解。
2018年11月03日 12点11分
level 15
月城翁
2018年11月03日 12点11分
9
level 15
月城翁
2018年11月03日 16点11分
11
月城翁
感谢张培忠老师。是按张老师的《在Mathcad中玩拉普拉斯变换》的帖子的做法做的。
2018年11月03日 16点11分
level 2
小树叶过河😂
楼主
十分感谢您、
2018年11月04日 01点11分
12
level 2
小树叶过河😂
楼主
问题的原因就是我粗心丢掉了两个乘号,加上之后可以正常求解,应该与方程等效写法没有关系吧,再次感谢dd与月城两位的耐心解答。
2018年11月04日 02点11分
13
level 15
月城翁
问题得到了解决,就好。
2018年11月04日 03点11分
14
1