同余式
数学竞赛吧
全部回复
仅看楼主
level 7
15801548347
楼主
2018年09月29日 02点09分
1
level 4
骜Ωº
表示数论只适合天才
2018年09月29日 11点09分
2
level 12
悲催的ren拼
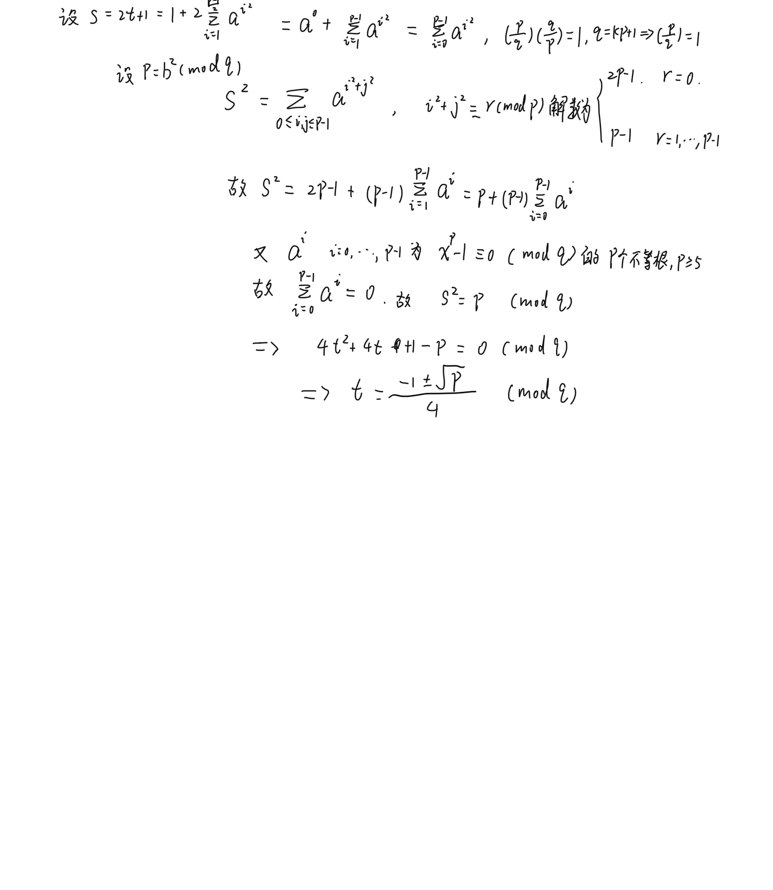
但我不知道怎么证明两个值都可取...可以证明5不是q的二次剩余时两个值都是可取的,q大于p平方时两个值都可取
2018年09月30日 01点09分
3
悲催的ren拼
最后写错了,分母是2
2018年09月30日 01点09分
15801548347
说得对 两个值其实只能取一个 但是根号p含义是两个 所以我觉得减号不写也对
2018年09月30日 06点09分
悲催的ren拼
回复 15801548347 :我的意思是,我不知道怎么证明一般情况下是否存在两个a对应的t不同,我觉得应该对任意的满足条件的p,q,存在两个满足条件的a,t都有两个值
2018年09月30日 07点09分
15801548347
@悲催的ren拼
那个是难 做出来告诉我
2018年10月01日 00点10分
1