关于tecplot的数据输入问题
tecplot吧
全部回复
仅看楼主
level 1
慎重的开放
楼主
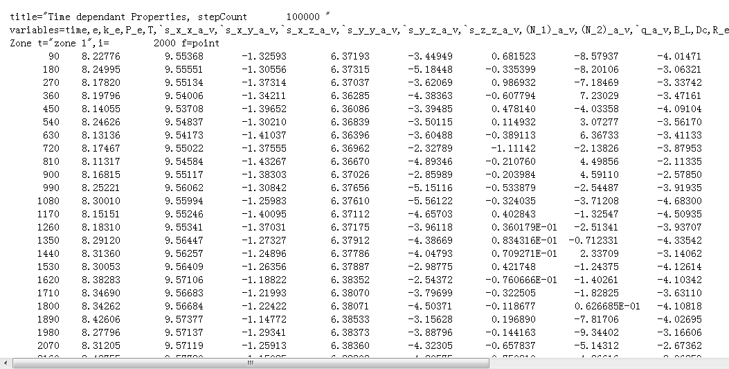
比如我需要输入这样一组数据来制图,同时我还有一组相似的数据,想在tecplot的一张图中同时放入两组数据进行对比,请问我要怎么才能做到呢?
2018年09月15日 15点09分
1
level 1
慎重的开放
楼主
求解,谢谢~~~
2018年09月15日 15点09分
2
level 1
妍奕雪
你是想要两个图放在一起看吗?你可以直接把这两个图拖到tecplot里面看,这个时候屏幕上只有一个图,点左边中间的map 这里面就已经有zone 1和zone 2你把zone 2前面的方框打勾就可以同时显示zone 1和zone 2了。希望能帮到你~
2018年11月05日 03点11分
3
1