请教各位关于昆曲罕腔的问题
昆曲吧
全部回复
仅看楼主
level 1
自学了一段牡丹亭惊梦山桃红有位懂昆曲的朋友听了说唱的罕腔用的过多了。特想请教下高人罕腔应该如何应用才妥帖?谢谢
2018年09月04日 01点09分 1
level 13
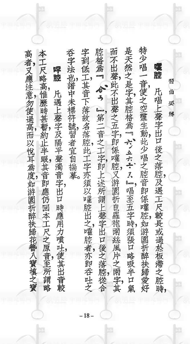
你可以查一查“振飞曲谱”,里面有很详细的“罕腔”用法介绍。或者查查“曲苑缀英”王正来的“罕腔”说明。
2018年09月04日 02点09分 2
level 10
只有上声字可以哻,但也不是所有上声字都要哻。
2018年09月06日 04点09分 3
level 13
2018年09月06日 10点09分 4
[呵呵][大拇指]
2018年09月08日 00点09分
level 13
上边三张图分别是《振飞曲谱》、《粟庐曲谱》(两张)中的解释。需要注意的是断句,那个「浊音字」只应用于阳平声,跟上声无关,即,如果用列举的形式来写,应该是这样:(一)上声字(按《粟庐曲谱》)或阴上声字(按《振飞曲谱》);(二)阳平声中的浊音字。
2018年09月06日 10点09分 5
level 13
刚才的回复不小心写错了,所以删掉,但愿还没被看见,以免误导人。以下是更正后的版本:
另外需要特别注意,昆曲中所说的「清浊」,跟传统的音韵学、现代的语音学等所说的「清浊」不是一回事。简单地说,在这两种体系中,「清浊」都是声母的一个性质,但在音韵学、语音学中,声母发音时声带不震动为清、震动为浊;而在昆曲中,声母发音时不送气为清、送气为浊。简单举例,按汉语拼音的写法,标准普通话中的 b、d、g 和 p、t、k,以音韵学、语音学的观点来看,其实都是清音,没有浊音;但按昆曲的观点来看,则前三个是清音、后三个是浊音。网络上搜索到的清浊音多数都是音韵学、语音学的概念,昆曲的不易搜到,如果事先不知道的话,可能会很困惑,所以特别说明。
2018年09月06日 10点09分 7
注意我这段说明主要目的是为了提醒其间的不同,所以写得很简略,完整、全面的解释还是要读相关资料。
2018年09月06日 12点09分
勘误:「震动」当作「振动」。补充:现在由于很多汉语(尤其是普通话或近似者)母语者对英语、以及其他语言还是缺乏了解,对清浊的概念有误解,这种误解与 昆曲中的 清浊概念恰好相反,这也是困惑的来源之一,需要注意。
2018年09月07日 08点09分
level 13
我去,原来贴吧(至少目前)不支持扩展 B 区的汉字,也不支持汉字描述符号……算了,凑合用吧:
这个腔格的正确写法,按《振飞曲谱》、《粟庐曲谱》,是左口右罕,这个字在电脑上可能不易输入、显示,比如贴吧目前就不支持,但通常可以写作:
口+罕
(口罕)
(口+罕)
等,不宜直接丢掉半边变成「罕」。
(口+罕)腔的使用,一是数量,二是程度,都要合适,别多也别少,当然这个没有死规定,大体合适也就行了。其实其他腔格也一样,都要适度。
2018年09月06日 11点09分 9
非常感谢您的详细解释。[玫瑰]
2018年09月07日 05点09分
level 13
关于罕腔,有些专业昆曲演员很不重视,有人根本不用,有人很少用,有人过度用,各位细品吧。
2018年09月10日 08点09分 10
1