送妹妹2题
驿外八春草吧
全部回复
仅看楼主
level 8
冬夏秋雪莲
楼主
学了泰勒和数分,有点小想法
2018年07月10日 11点07分
1
level 8
冬夏秋雪莲
楼主
2018年07月10日 12点07分
2
冬夏秋雪莲
此楼弄点灵感图
2018年07月10日 12点07分
level 8
冬夏秋雪莲
楼主
@斯普林格拉斯
忘记了
2018年07月10日 13点07分
3
level 1
16分♬
好奇上面表情包怎么证
2018年07月10日 14点07分
4
冬夏秋雪莲
拆成4个长式即可,或者不断放缩,很松的
2018年07月10日 14点07分
16分♬
@冬夏秋雪莲
好像大佬您特别喜欢这类放缩估计的题啊 看知乎上也是 下次来个20阶泰勒的?
2018年07月10日 14点07分
冬夏秋雪莲
@16分♬
我不是大佬,还是别叫您吧,都是同辈。
话说能问下层主的知乎名吗?十阶泰勒还是有的。。
https://tieba.baidu.com/p/5783404954?pid=120678403048&cid=0#120678403048
2018年07月10日 14点07分
16分♬
@冬夏秋雪莲
我蒟蒻 都是些划水回答 就不留id了 免得被人笑话
2018年07月10日 15点07分
level 8
冬夏秋雪莲
楼主
2018年07月10日 14点07分
5
level 12
斯普林格拉斯
不会
2018年07月10日 15点07分
6
冬夏秋雪莲
我瞎写的,妹妹别管就行了
2018年07月10日 15点07分
level 1
透心凉😳
我要是复读 以后你们的题目 我都是看看 笔都动不了😂
2018年07月11日 09点07分
7
冬夏秋雪莲
高考大概不会考的
2018年07月11日 11点07分
level 8
冬夏秋雪莲
楼主
这个挺美观的
2018年07月11日 14点07分
8
level 8
冬夏秋雪莲
楼主
2018年07月17日 05点07分
9
level 8
冬夏秋雪莲
楼主
2018年07月17日 05点07分
10
level 3
傅青主q
这个怎么做?
2019年02月02日 04点02分
13
冬夏秋雪莲
建议层主还是写试卷上的导数题吧,别写我这些题
2019年02月02日 10点02分
傅青主q
为啥?我觉得有点儿意思
2019年02月02日 15点02分
level 1
贴吧用户_08RybPV
你让我们这群学渣怎么活
2019年07月20日 14点07分
14
level 1
guohechaiqiao9
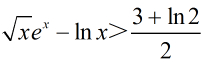
在下先用计算机验证了一下第一张图的题,右式值是1.846574,左边在0.450170取到1.850563。接下来寻找0.45017这个值是什么
2019年07月20日 14点07分
15
guohechaiqiao9
使用计算机研究单调性,发现在0.45017左侧降,右侧增。
2019年07月20日 14点07分
guohechaiqiao9
问题简化为证明其导函数单调递增且有零点,在零点处原函数大于右侧
2019年07月20日 14点07分
guohechaiqiao9
问题简化为证明其导函数单调递增且有零点,在零点处原函数大于右式3/2+ln2/2
2019年07月20日 14点07分
guohechaiqiao9
关键在于证明二阶导恒正
2019年07月20日 14点07分
level 5
我是cqf
还是比较简单的,第二题19/7连续出现三遍,仿佛在讲重要的事情说三遍,就不会隐藏一下意图吗
2019年07月21日 08点07分
16
1