求教mathcad求积分时变量为矩阵的方法
mathcad吧
全部回复
仅看楼主
level 1
高飞的鹦鹉是我
楼主
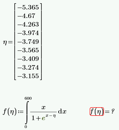
求教各位怎样利用mathcad计算如附件图中所示的积分。当单个带入η时可以计算,但η为矩阵时,积分结果提示不收敛,赶问如何解决?
2018年05月23日 15点05分
1
level 15
月城翁
加向量化符号
2018年05月23日 16点05分
2
level 15
月城翁
2018年05月23日 21点05分
3
高飞的鹦鹉是我
非常感谢高手
2018年05月24日 13点05分
level 15
月城翁
2018年05月23日 21点05分
4
1