lisp程序编写(新手,感觉这样会简单些,不过写不出来程序)
autolisp吧
全部回复
仅看楼主
level 3
kullonforever 楼主
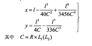
首先,以图中ZH(pt1)点为坐标系原点,如图示设置用户坐标系,绘制缓和曲线L1,曲线方程为:见图2;然后以右侧的HZ点为坐标系原点,曲线方程不变(纵坐标的符号相对变下),绘制出缓和曲线Ls2;然后在此坐标系(HZ)下以圆弧连接两曲线端点,圆弧半径为已知。数据方面:L1/L2、T、R为已知,增幅l可控制在1或2.
2018年05月01日 04点05分 1
1