【复分析】Perron‘s formula
sigmatheta吧
全部回复
仅看楼主
level 11
御坂5286⚡ 楼主
第一次发帖
2018年04月03日 16点04分 1
level 11
御坂5286⚡ 楼主
2018年04月03日 16点04分 2
level 11
御坂5286⚡ 楼主
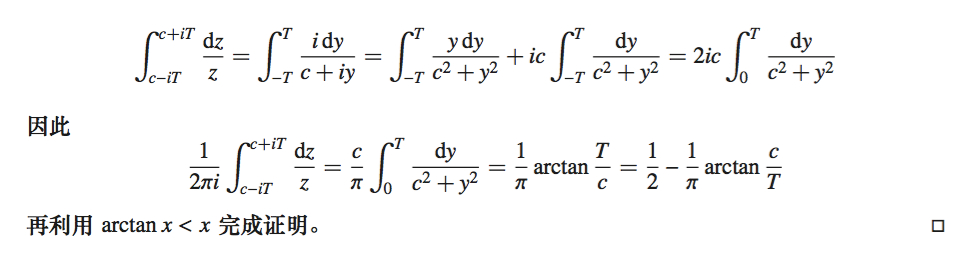
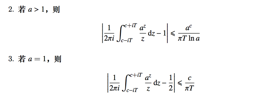
证明引理:
2018年04月08日 16点04分 3
1