mathcad prime 3.0 for循环语句报错
mathcad_prime吧
全部回复
仅看楼主
level 1
abclinlin0116
楼主
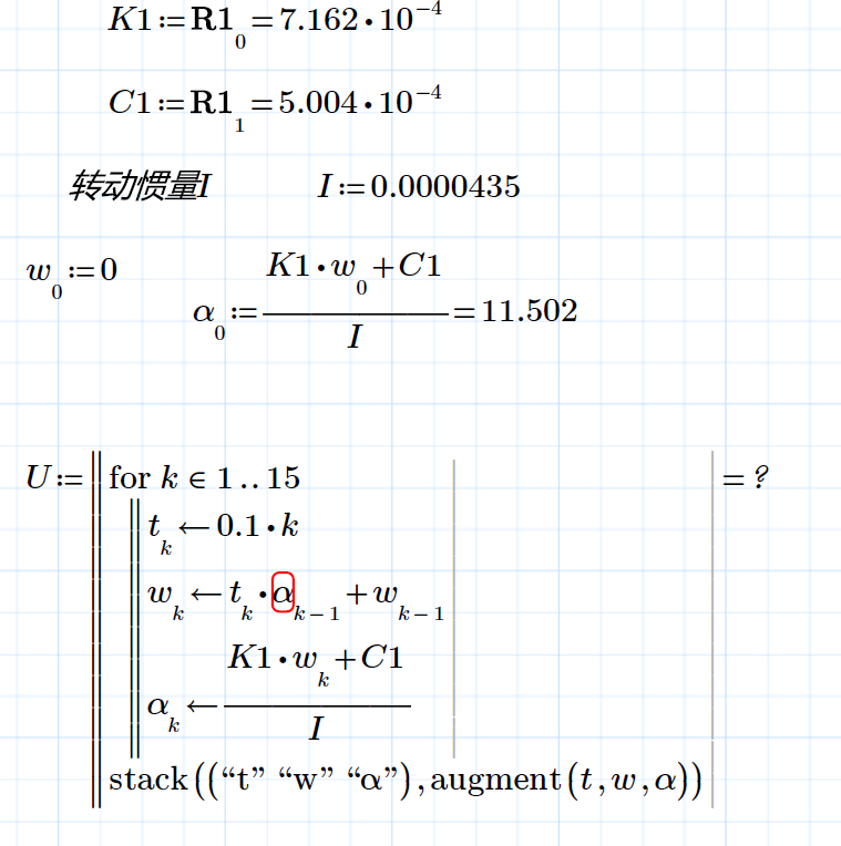
初入门,mathcad prime3.0
需要计算0到1.5s内,每0.1s的角速度和角加速度,简单的线性计算,但为什么系统一直说角加速度ai必须为矢量,所有的下标都是用a[k进行输入的,能否帮忙解决一下,谢谢。
2018年03月21日 02点03分
1
level 1
abclinlin0116
楼主
作为小白一枚,谁能告诉我,得到了计算结果,怎么把它们转化成图表么?就是t-w的关系图?谢谢
2018年03月21日 05点03分
2
abclinlin0116
上方计算出来是矩阵结果,制图中说是一定要标量,如何破解
2018年03月21日 06点03分
level 6
亮子505
会不会“a[0”的索引号“[”没写
2018年08月03日 03点08分
3
level 1
dd966815home
(“w” "t" "a")用矩阵行
2018年10月26日 14点10分
4
1