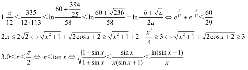
一些比较难证的函数不等式
驿外八春草吧
全部回复
仅看楼主
level 8
赠给驿外大佬[滑稽]
2018年03月15日 06点03分 1
level 12
[阴险][阴险][怒][怒][阴险][阴险]那个三角形是什么?
2018年03月15日 15点03分 2
[阴险]deta啊
2018年03月16日 05点03分
level 8
第一问已解决(非手动,没时间[阴险]
第二问第三问貌似需要很高的底力,高考完再说
2018年03月26日 02点03分 5
1