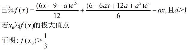
大家感兴趣的话可以来看看这个题目
数学吧
全部回复
仅看楼主
level 12
冬夏秋雪莲
楼主
上面的题是对另一个原题改了点数据之后得到的另一个版本
Tips:不必分类讨论就可以做了
由于只用了5分钟左右改,所以期待da lao验证正确性
2018年03月15日 05点03分
1
level 9
心随数动º
貌似是a>0时 极大值点>1/4 a>1时>7/3
2018年03月15日 09点03分
4
冬夏秋雪莲
差那么多吗。。a>0极大值点应该不固定吧
2018年03月15日 10点03分
心随数动º
回复 畑山♂兆合金猿 :0<a<1为另一个 a>1为lna 不过a>0极大值点确实>1/4 我随便取了几个数
我都是用手机检验错了也别怪我
2018年03月15日 10点03分
冬夏秋雪莲
回复 lysლ :
好吧。不过大于0的时候我也不太确定,因为0.7的时候也是lna,所以索性大于1了。
2018年03月15日 10点03分
level 4
苦诚仙
楼主你解法是啥?
2018年03月25日 15点03分
5
level 4
苦诚仙
只想知道对于X0随风提取
2018年03月25日 15点03分
6
苦诚仙
是如何
2018年03月25日 15点03分
冬夏秋雪莲
@苦诚仙
x0就是lna的。。可以先做做看
2018年03月25日 15点03分
苦诚仙
@冬夏秋雪莲
不对啊,楼主赌五毛,lna不行
2018年03月25日 17点03分
1