level 8

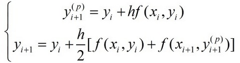
在MathType中编辑的大括号公式示例具体解决方法如下:步骤一 打开MathType软件,借助其中的公式模板进行编辑,编写的公式如下图所示。编写过程中会用到左半边的大括号模板、上下角标模板、分数模板和中括号模板等,编写过程中要按部就班来,跳过一个模板就会导致编写有误。

在MathType中编写的公式示例步骤二 因为该公式是借助矩阵模板进行编写的,所以可以借助调整矩阵对齐方式来进行调整。用鼠标选中两行公式,此时公式呈蓝色高亮显示,单击上方菜单栏“格式”菜单,在其下拉选项选择“矩阵”——“更改矩阵”选项,如下图所示。

在格式菜单下选择更改矩阵示例步骤三 执行以上命令后,会打开矩阵对话框,如下图所示,在列对齐方式中选择“左侧”,然后点击确定。

在矩阵对话框修改列对其方式步骤四 执行以上操作后,大括号公式就会以左侧为标准进行对齐,最终效果如下图所示。

修改后的公式左对齐示例