貌似这个题还没解决。。
数学吧
全部回复
仅看楼主
level 12
冬夏秋雪莲
楼主
好像是某个大佬自编的题目,但是我无力解决。所以求助各位大佬
2018年03月01日 04点03分
1
level 12
冬夏秋雪莲
楼主
@暗雪之回忆
@雕鸮ambassdor
大佬在吗,看看咯
2018年03月01日 04点03分
2
level 12
冬夏秋雪莲
楼主
@KK__139
@筱筱baby歆
艾特多两位大佬
2018年03月01日 04点03分
3
level 9
心随数动º
用我以前推的lnln7>sqrt7/4
2018年03月01日 05点03分
4
冬夏秋雪莲
构造了个直接点的函数,精度还是很高,大佬应该怎么证。。
2018年03月01日 05点03分
心随数动º
lnln7>sqrt(7)/4这个你可以玩玩 我在6L补充了图中h(a)下一行小于0的来源
2018年03月01日 05点03分
level 1
我不信唯物主义
(1)f(x)=lnx-x
lnx-x=x+m根的个数。
构造函数h(x)=lnx-2x-m零点的个数
h'(x)=1/x-2=(1-2x)/x
h'(x)在(0,1/2)大于0,在(1/2,正无穷)小于0
h(x)在(0,1/2)增,(1/2,正无穷)减。
极大值为1/2
h(x)x-0趋近负无穷。
h(x)x-正无穷趋近正无穷。
h(1/2)=-ln2-1-m
当h(1/2)大于0,有两零点.m<-ln2-1
当h(1/2)=0,有一个零点,m=-ln2-1
当h(1/2)小于0,无零点。,m>-ln2-1
2018年03月01日 05点03分
5
我不信唯物主义
写错了,x-正无穷趋近于负无穷
2018年03月01日 05点03分
冬夏秋雪莲
谢谢了,不过想问的是第二个
2018年03月01日 05点03分
level 9
心随数动º
2018年03月01日 05点03分
6
冬夏秋雪莲
膜大佬。本来还想用2的15次方/7的5次方<ln7,结果发现是大于,这精度恐怖
2018年03月01日 05点03分
心随数动º
回复 畑山♂兆合金猿 :
其实你发的这题 之前我写过<lnln7 但是没人去想 精度题其实都用函数来手工估计还挺好玩的 不过我该退休了
2018年03月01日 05点03分
冬夏秋雪莲
@心随数动º
。。这么快退休的吗?因为有你们这些大佬在,题目变得有意思很多。所以祝您以后工作和研究之路更顺利了
2018年03月01日 05点03分
心随数动º
回复 畑山♂兆合金猿 :
是不在设计数值题上花时间了 前俩年搞了一大堆
还有一些不常见的(0,1)内单调的指对三角等函数不等式 如0<x<1:e^x<(x^2+4x+6)/(6-2x)都是用来估值的
2018年03月01日 06点03分
level 11
落羽尘飞😂
我回来了,大佬,晚上看题。。。然后发点题一起嗨皮哦
@zj1371416455
2018年03月01日 09点03分
9
冬夏秋雪莲
希望可以赶上吧。。我还有一个题目呢
2018年03月01日 10点03分
落羽尘飞😂
大佬来我昨天的贴子呀,有别的大神发题咯
2018年03月01日 10点03分
冬夏秋雪莲
回复 大恶魔终结者- :刚刚看到了。。导了一下发现不是很难算
2018年03月01日 10点03分
level 11
落羽尘飞😂
恶心
2018年03月01日 12点03分
10
落羽尘飞😂
e就比根号7大0.1不到,我的天啊
2018年03月01日 12点03分
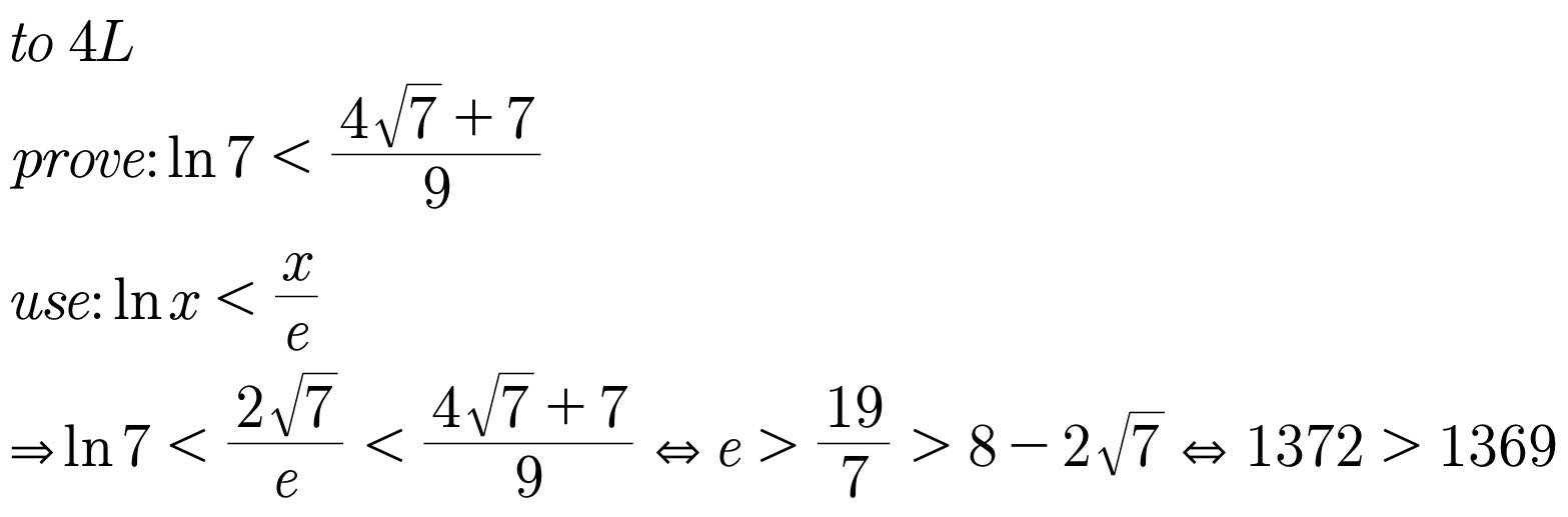
冬夏秋雪莲
回复 大恶魔终结者- :
令人惊讶的放缩。我用分数放的,误差虽然也不大,但是还是不行。参照4l大佬。。
2018年03月01日 15点03分
🐷哥且混子
a0<ln7 可证
2018年03月02日 04点03分
level 11
落羽尘飞😂
还是没作对啊,我还是太菜了
2018年03月01日 12点03分
11
level 6
世界最靓的仔👺
第三问泰勒公式秒解
2018年03月03日 12点03分
15
1