这题我也忘记了QWQ,求大佬
数学吧
全部回复
仅看楼主
level 11
落羽尘飞😂
楼主
这题我也忘记了QWQ,求大佬
2018年02月27日 13点02分
1
level 12
冬夏秋雪莲
看起来好像是e的定义的?
我并不会证,随便写点没用的东西,不知有没有帮助
2018年02月27日 15点02分
2
雕鸮ambassdor
应该不是e
2018年02月27日 15点02分
冬夏秋雪莲
@雕鸮ambassdor
我记得是高考国3,完全一样的函数,不过要求极限的话就不知道怎么搞了
2018年02月27日 16点02分
level 11
落羽尘飞😂
楼主
是的,应该在e的5/6次方跟e之间
2018年02月27日 16点02分
3
level 11
落羽尘飞😂
楼主
这题不简单哎
2018年02月27日 16点02分
4
level 12
神琦冰河
只有数值解,没有封闭解
2018年02月28日 01点02分
7
level 13
q流萤q
2018年02月28日 01点02分
8
level 11
黄徐升
q-Pochhammer Symbol -- from Wolfram MathWorld -
http://mathworld.wolfram.com/q-PochhammerSymbol.html
参考一下这个
2018年02月28日 01点02分
9
level 11
落羽尘飞😂
楼主
是啊,感觉是只有数值解
2018年02月28日 02点02分
10
level 5
青萍之末🌙
不会qwq
2018年02月28日 02点02分
11
level 11
落羽尘飞😂
楼主
连你都不会啊
2018年02月28日 02点02分
12
level 7
皓中逐数😢
你搞错了吧
2018年03月03日 01点03分
13
level 7
皓中逐数😢
我记得n取2015 逼近50
2018年03月03日 01点03分
14
level 9
心随数动º
2018年03月03日 04点03分
15
落羽尘飞😂
你厉害。。。
2018年03月03日 04点03分
落羽尘飞😂
层主啊,我只会数学归纳法证你这个结论,但是呢,如果是直接推演,我是想不到的,大佬是咋证的啊
2018年03月03日 05点03分
落羽尘飞😂
@筱筱baby歆
求助大神
2018年03月03日 05点03分
心随数动º
回复 大恶魔终结者- :
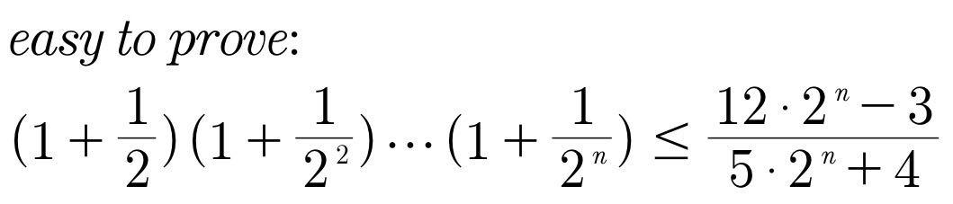
用函数不等式来放缩数列会轻松得到比较高的精度 比如这题就是将1+1/x放缩为二次分式型 对于不能求通项的数列放缩亦可如此 这样的题我可以改为只证<一个数 就增加难度了
2018年03月03日 06点03分
level 6
神游时空
钓鱼吗……这个极限存在不假……但是一般是拿这个极限来定义出一个函数......就像e的极限定义那样......
2018年03月03日 13点03分
18
落羽尘飞😂
那定义了什么函数啊。。。。还有,什么叫钓鱼啊?我是真不会啊,又不是强行秀。。
2018年03月03日 13点03分
落羽尘飞😂
回复 ☜域F6 :不懂。。。。不过我现在倒是知道这个极限值没有确切解的
2018年03月03日 13点03分
落羽尘飞😂
回复 ☜域F6 :太过深奥的东西我又不想了解,知难而退也无妨,我是弄应用数学的,又不是玩纯数的,TAKE IT EASY
2018年03月03日 13点03分
level 15
forever豪3
貌似不如15L的放缩,用到的不等式基本都是均值不等式
2018年03月04日 05点03分
19
1
2
尾页