周末了。。大佬们来做题吧
数学吧
全部回复
仅看楼主
level 12
冬夏秋雪莲
楼主
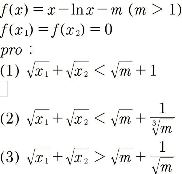
高中题目应该没有什么题适合给大佬们写的,就找了个导数证明题
@雕鸮ambassdor
@暗雪之回忆
@CyKihe
@驿外八春草
@李林皓1
2018年02月25日 03点02分
1
吧务
level 13
斯普林格拉斯
用desmos得到图象,发现恒在x轴下方,证毕!
2018年02月25日 03点02分
2
斯普林格拉斯
真正证明的话,注意到f(0)=0,f'(x)<0即可
2018年02月25日 03点02分
冬夏秋雪莲
@斯普林格拉斯
怎么注意到的
2018年02月25日 03点02分
斯普林格拉斯
@冬夏秋雪莲
要图象注意到的
2018年02月25日 03点02分
斯普林格拉斯
@斯普林格拉斯
画
2018年02月25日 03点02分
level 11
落羽尘飞😂
你来做做我昨天找的题目吧
2018年02月25日 03点02分
3
冬夏秋雪莲
好我去看看
2018年02月25日 03点02分
level 11
落羽尘飞😂
感觉吧,导函数是恒负的么?
2018年02月25日 03点02分
4
冬夏秋雪莲
算不出来的吧
2018年02月25日 03点02分
落羽尘飞😂
Taylor展开应该可以的
2018年02月25日 03点02分
冬夏秋雪莲
回复 大恶魔终结者- :
展开f(x)?
2018年02月25日 03点02分
level 11
落羽尘飞😂
我觉得吧。。。
2018年02月25日 03点02分
5
冬夏秋雪莲
我的天。。
2018年02月25日 03点02分
冬夏秋雪莲
这个稍微有点复杂,可以用初等方法的
2018年02月25日 03点02分
冬夏秋雪莲
而且貌似Taylor展开不能只取前几项的?不过我没学过所以也不知道
2018年02月25日 04点02分
斯普林格拉斯
@冬夏秋雪莲
可以的。。。这叫二次近似
2018年02月25日 04点02分
level 11
scappyº
同学看你对这种题情有独钟
我来一道小题
2018年02月25日 04点02分
6
level 11
scappyº
2018年02月25日 04点02分
7
冬夏秋雪莲
没时间做这种东西了,大佬都要写好久,我怕不是要写一天
2018年02月25日 04点02分
心随数动º
这是王老师借助图像和数值猜测的式子 第一问可以做做 二三问复杂度太高 不太适合做 他为了加强我之前的结论也是挺拼的
2018年02月25日 05点02分
level 9
心随数动º
貌似抽风了 回复不了
2018年02月25日 04点02分
8
心随数动º
use的左推符号去掉 最后一行的use放到倒数第二行 本来意思应该都懂 只是怕产生歧义
毕竟手机码字软件比不上tex
2018年02月25日 05点02分
冬夏秋雪莲
大佬又是你啊,题目对你来说可能太水了
2018年02月25日 05点02分
level 14
🍭吹🍭
dalao高三周末休多久啊
2018年02月25日 06点02分
9
冬夏秋雪莲
一个下午。话说您是随时都可以用电脑嘛
2018年02月25日 06点02分
🍭吹🍭
您怎么知道我在用电脑
2018年02月25日 06点02分
🍭吹🍭
回复 畑山♂兆合金猿 :在家或者宿舍基本上是这样,本地上学,随时可以两边跑
2018年02月25日 06点02分
冬夏秋雪莲
@🍭吹🍭
PC端上可以看到每层用的是什么
还有,大学真好
2018年02月25日 06点02分
level 10
琪琪1509
😂😂这么复杂!
2018年02月25日 15点02分
10
冬夏秋雪莲
大佬是指7L的题目吧,听说没办法算
2018年02月25日 16点02分
琪琪1509
回复 畑山♂兆合金猿 :第一题可以做
2018年03月05日 06点03分
1