每日一题哟,今天下午去参加同学聚会,可能没多少时间详细做了,
数学吧
全部回复
仅看楼主
level 11
落羽尘飞😂
楼主
每日一题哟,今天下午去参加同学聚会,可能没多少时间详细做了,这三题都是初试题
2018年02月24日 03点02分
1
level 9
CyKihe
第一题a=6 b=8?
2018年02月24日 04点02分
2
落羽尘飞😂
不对,看来毕竟是竞赛题,有难度滴
2018年02月24日 04点02分
落羽尘飞😂
我刚刚用了方法一做出来了第一道,现在换个方法 其实第一题不算太难,就是叫大家思维拓展一下
2018年02月24日 04点02分
CyKihe
回复 大恶魔终结者- :哪些是b哪些是6啊 我怀疑看错题了
2018年02月24日 04点02分
落羽尘飞😂
系数是B。。。。不好意思(T ^ T)手残
2018年02月24日 04点02分
level 9
CyKihe
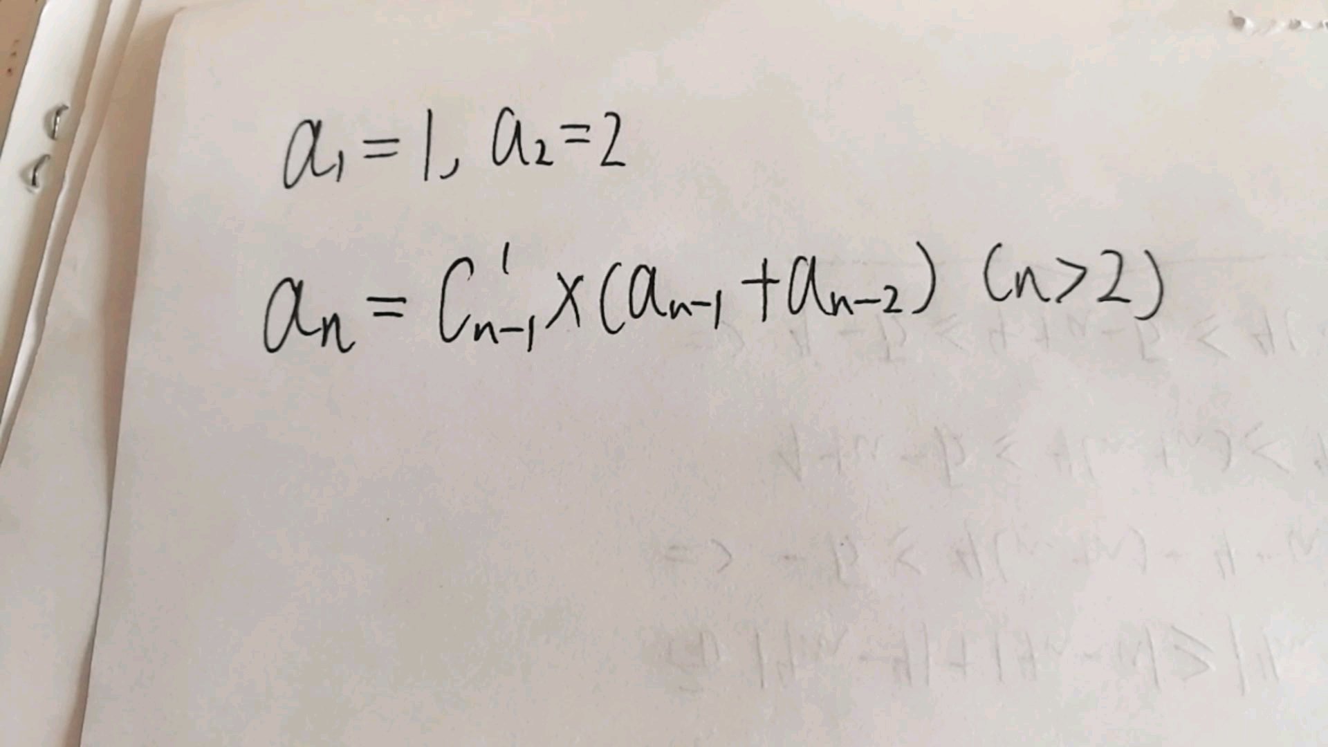
第二题265 全错位排列
2018年02月24日 04点02分
3
level 11
落羽尘飞😂
楼主
是的,是不是有什么公式啊?当初自己推导过类似的,不过忘了
2018年02月24日 04点02分
4
CyKihe
确实有公式
2018年02月24日 04点02分
吧务
level 13
斯普林格拉斯
第2个很出名哦
2018年02月24日 04点02分
5
level 11
落羽尘飞😂
楼主
是不是有这个递推公式啊,通项可求么
2018年02月24日 04点02分
6
落羽尘飞😂
递推公式肯定没错,简单的归结原理嘛
2018年02月24日 04点02分
level 5
青萍之末🌙
错排问题...
2018年02月24日 04点02分
8
level 11
落羽尘飞😂
楼主
好像真的有通项公式吧,能求么,你当年推导过吗
2018年02月24日 04点02分
9
青萍之末🌙
我记得推过,错排问题有通用公式
2018年02月24日 04点02分
落羽尘飞😂
来啊,快活啊,反正还有大把时光
2018年02月24日 04点02分
青萍之末🌙
回复 大恶魔终结者- :切...羡慕你们还有聚会
2018年02月24日 04点02分
落羽尘飞😂
呃。。。今天其实是去看高中老师,昨天是跟好盆友聚会
2018年02月24日 04点02分
level 9
CyKihe
a=5 b=正负根号6… 应该是吧
2018年02月24日 04点02分
10
level 9
雕鸮ambassdor
解几已证出
2018年02月24日 04点02分
12
雕鸮ambassdor
2018年02月24日 04点02分
落羽尘飞😂
你咋证的啊,我证的很繁琐
2018年02月24日 04点02分
雕鸮ambassdor
@落羽尘飞😂
再带参数方程转化为 一个 较容易的不等式
2018年02月24日 05点02分
雕鸮ambassdor
前面说的是 转化为求OM+MP1上界 M为P1P2中点
2018年02月24日 05点02分
level 9
CyKihe
2018年02月24日 04点02分
14
落羽尘飞😂
回复 firechang :肯定是任意X啊,然后才能确定Y的范围啊,你怕是在逗我
2018年02月24日 10点02分
level 11
落羽尘飞😂
楼主
解几。。。。这题好像就该这么繁琐吧,是么?
2018年02月24日 05点02分
15
雕鸮ambassdor
用参数方程 是平方均值不等式
2018年02月24日 05点02分
落羽尘飞😂
我朋友也是用了柯西不等式做的
2018年02月24日 05点02分
🍭吹🍭
∠P₁PP₂=90°,蒙日圆是相切的情况,所以如果点在圆外,那么引两条垂线必有一条不与椭圆相交,所以结论成立
2018年02月24日 13点02分
雕鸮ambassdor
震惊……
2018年02月24日 14点02分
level 9
北京大学李胜
欧拉伯努利装错信问题,有公式的
2018年02月25日 11点02分
16
1