level 3
trumanmar
楼主
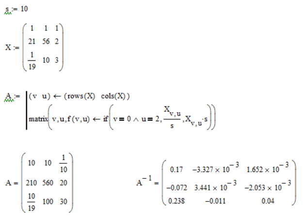
先阐述一下我想做的运算,因为我要做的是一个440*440的一个矩阵,其中矩阵元素都是电感电容的s域表达方式(s*L以及1/s*C)这种。尝试过matlab,但是matlab的矩阵逆运算基本符号预算超过6阶以后就老是出现fail。所以转而求助mathcad。
因为这个很大的矩阵(先命名为矩阵A),我还需要一些他的运算,比如逆矩阵运算等等,所以我想就以符号矩阵的形式插入进来,可是excel的乘号就是*这个样子,插入进来后也是*这样,与mathcad实际的乘号是不同的。截图如下:

这个矩阵的内容其实就是电感电容的s域表达方式,那么这些乘号怎么改动呢,双击这个表格就直接回到excel里边修改了。截图只是一个3*3的矩阵简易图示。因为之后还要用到这个矩阵A。还有一个问题插入时,输入我选的是0,输出选的1,告诉我值域无效,这个问题我会自己再详细查一下吧的类似问题自己找找答案。请教一下各位大佬。
2017年12月17日 06点12分
1
因为这个很大的矩阵(先命名为矩阵A),我还需要一些他的运算,比如逆矩阵运算等等,所以我想就以符号矩阵的形式插入进来,可是excel的乘号就是*这个样子,插入进来后也是*这样,与mathcad实际的乘号是不同的。截图如下:

这个矩阵的内容其实就是电感电容的s域表达方式,那么这些乘号怎么改动呢,双击这个表格就直接回到excel里边修改了。截图只是一个3*3的矩阵简易图示。因为之后还要用到这个矩阵A。还有一个问题插入时,输入我选的是0,输出选的1,告诉我值域无效,这个问题我会自己再详细查一下吧的类似问题自己找找答案。请教一下各位大佬。







