maple怎么求解带很多个参数的一元不等式,好着急
maple吧
全部回复
仅看楼主
level 3
超级Lemon3
楼主
有比较懂的人愿意辅导下,最近在写论文,可以有偿的,或者交个朋友
2017年11月25日 07点11分
1
level 3
超级Lemon3
楼主
愿意帮助的话,有偿也可以的,可以发个小红包表示感谢
2017年11月25日 08点11分
2
level 3
超级Lemon3
楼主
你好,我算出来最后是有个rootof,怎么转化
2017年11月28日 06点11分
6
level 3
超级Lemon3
楼主
用allvalues也不可以,怎么回事呢
2017年11月28日 07点11分
7
超级Lemon3
回复 swordhalo :我改了,我后面求出来的还是关于root of 根。我就想得到用根号表示的,是我的版本问题吗
2017年11月28日 09点11分
zyblack1226
@swordhalo
大神你可以帮我看一下问题嘛
2019年01月18日 08点01分
level 3
超级Lemon3
楼主
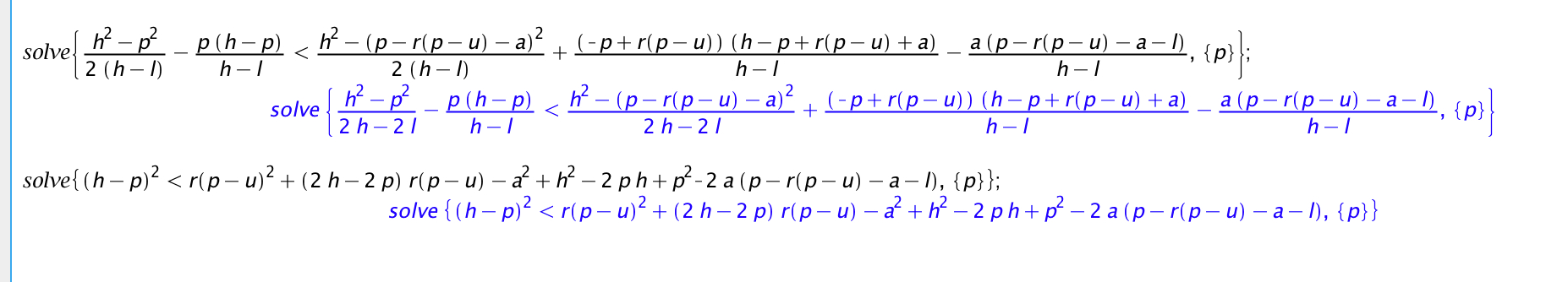
我要求1式子大于二式时,p1的取值。
2017年11月28日 09点11分
8
一等奖学金
你的问题解决了吗,我也想知道怎么做~
2018年09月24日 09点09分
超级Lemon3
回复 一等奖学金 :我最后是用matlab 求解,再用maple 化简
2018年12月21日 07点12分
level 11
恒星-流星
嗯?
2018年09月26日 03点09分
9
1