极限竞赛S1整理
sigmatheta吧
全部回复
仅看楼主
level 14
Altair✨
楼主
RT
2017年11月08日 14点11分
1
level 14
Altair✨
楼主
https://tieba.baidu.com/p/4844425111?share=9105&fr=share&see_lz=0&sfc=copy&client_type=2&client_version=8.9.8.0&st=1510283263&unique=8349D58351E9CD3D5593C62AA40B82E6
2017年11月10日 03点11分
2
Altair✨
更新完成前禁止插楼。
2017年11月10日 15点11分
level 14
Altair✨
楼主
1.
remark.无技巧的题目。向总那个答案好像有点不太对劲
2017年11月10日 15点11分
3
level 14
Altair✨
楼主
2.
remark.最好把k充分大改成x充分小,然后证明一下积分仅依赖于0附近的局部性质。
2017年11月10日 15点11分
4
level 14
Altair✨
楼主
3.
不知道出题人自己会不会。现在没有答案
2017年11月18日 02点11分
5
level 14
Altair✨
楼主
4.
2017年11月18日 02点11分
6
level 14
Altair✨
楼主
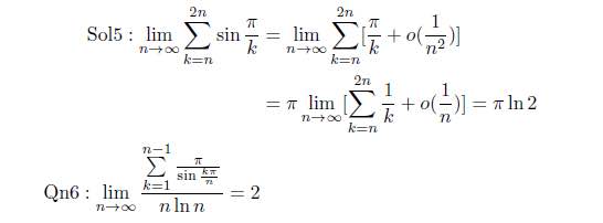
5.
2017年11月18日 02点11分
7
level 14
Altair✨
楼主
6.
题目在楼上
2017年11月18日 02点11分
8
level 14
Altair✨
楼主
7.
没意义的题目,不发了
2017年11月18日 08点11分
9
level 14
Altair✨
楼主
8.
2017年11月18日 08点11分
11
1