插值方法的拓展——单独插
mathcad吧
全部回复
仅看楼主
level 7
大海的暴怒
楼主
@loupoo2,麻烦loupoo2老师批评指正
2017年11月07日 09点11分
1
level 13
loupoo2
非常不错,真正用数学知识解决实际问题,数学概念明了,表达式简单(这个方式也是我所推崇的)
2017年11月08日 02点11分
2
大海的暴怒
我是站在巨人的肩膀上!另外请教个问题,后面我自己试算了一个工字梁的结构,截面特性的结果与autocad的基本一致,但是,这里面的截面特性计算采用了积分,又遇到了积分精度不高的问题,TOL设置为10^-6,个别特性结果都仍有一定误差,0.1%左右吧。再请教个问题,T梁、箱梁的扭矩计算公式有没有?
2017年11月08日 03点11分
loupoo2
@大海的暴怒
下午我编下看,这个误差应该不影响吧
2017年11月08日 03点11分
level 13
loupoo2
看了下误差应该是比较小的(没有千分之一那么大),这样的结果很精确了啊。抗扭惯矩T梁的在下面图里面,闭合空心截面的抗扭惯矩材料力学里面有,不过我没有这个书了。
2017年11月08日 08点11分
3
大海的暴怒
方法比我的好,我截面形心yc那里只用了偏P/偏y,所以和xc的公式不具有对称性,你的好,前后的对称性比较完美!交流才有收获,切身体会!
2017年11月08日 09点11分
大海的暴怒
@大海的暴怒
还有,我前面说的误差问题,你的也有,不过误差不大,我的大,应该还是公式的不对称性引起的
2017年11月08日 09点11分
level 13
loupoo2
2017年11月08日 08点11分
4
大海的暴怒
这公式一看就是个经验公式,懒得记
2017年11月08日 09点11分
loupoo2
@大海的暴怒
这个公式有误(是篇论文上的),具体公式我再查。另外这个公式不是经验公式哦,是解析解,取其前三项而得来
2017年11月09日 02点11分
loupoo2
@大海的暴怒
正真计算抗扭惯距是要积分的,没有必要这么折腾的。精度5%以内都是非常准确的。建议用有限元软件即可
2017年11月09日 02点11分
level 13
LNSZDZG
这个帖很棒,希望二位继续拓展。试试其他形状,比如四边形,五边形…n边形
2017年11月08日 23点11分
5
大海的暴怒
这是一个通用方法,一个不规则的13边形都已经试过了,没毛病
2017年11月09日 00点11分
level 15
月城翁
楼主的算法是通用算法。
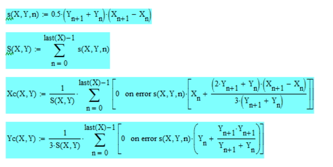
对于用散点定义的由直线型折线组成的封闭图形,也可以直接用给出的散点坐标计算。计算的思路就是把图形看作若干梯形(特例,矩形,零面积)的组合,直接用公式计算。下面是我刚推出的公式,没有经过严密的论证,或许有错,仅供参考。
2017年11月10日 03点11分
6
level 15
月城翁
2017年11月10日 03点11分
7
level 15
月城翁
2017年11月10日 03点11分
8
level 15
月城翁
2017年11月10日 03点11分
9
大海的暴怒
因为要做惯性矩,y^2或者x^2在面域上的积分,用这种分割的方法可能有点复杂了。我没试过,不太清楚
2017年11月10日 04点11分
loupoo2
@大海的暴怒
他这种思路没法求截面惯性距特性,我下午回家贴出出来类似的(非常繁琐,概念也是很清晰)可以求截面特性的法子
2017年11月10日 05点11分
level 13
loupoo2
这个程序是别人编写的,看意思就是按照分段积分的解析解得出后编写而成,精度是高,但是很多时候没有积分函数来的方便快捷。
其实,积分就是因为截面边界有部分不平滑的角造成的
2017年11月10日 09点11分
10
level 13
rhw200851
请问空心板的如何计算呢?
2017年11月23日 14点11分
11
大海的暴怒
两个相减啊,我正想弄个含内腔的截面,还没来的及搞
2017年11月24日 00点11分
大海的暴怒
当然,我细想了下,这种参数方程的方法就不分含不含内腔了,按照已有的公式完全可以继续得到。我贴图到下面,你看一下。
2017年11月24日 01点11分
level 7
大海的暴怒
楼主
原来的方法可以继续用,前提就是要将含内腔的图形认为分割,且沿逆时针遍历截面图形的一周,如cad图中我标的1~16,形成一个闭合多边形环。还有要注意的是图形复杂了之后,TOL需要设置的小一些,我按照10^-4设置的话,误差都在5%好像,按照10^-6设置就是贴图的样子,还算满意的吧。
2017年11月24日 01点11分
12
大海的暴怒
写完这个,我有点怀疑,这个是不是有点保角变换或者边界元的意思,那两个只听过大名,没认真学过,保角变换倒是弹力里讲过一点,云里雾里,没搞明白过
2017年11月24日 01点11分
rhw200851
@大海的暴怒
厉害了,一直想找到如何简单方便的计算空心板的截面特性的方法,我试一下
2017年11月28日 06点11分
level 13
loupoo2
@大海的暴怒,怎么可能有5%的误差,可能是图形锐角太多了才会这样的。12楼你CAD算出的I、J是错的,不知道你是不是用这个错的去比较。像你这个双挖空截面,你要注意CAD里面的I和J已经不是对形心轴的惯性矩了(只有主轴方向I的话沿【1,0】、J的话沿【0,1】才是材料力学里面所说的对形心轴的X,Y惯性矩),你的是已经旋转了【0.998,具体多少看不到你的图】和【肯定不是0,1】轴的惯性矩了,你这个采用CAD计算的话要利用你截图里面图形对X,Y轴的惯性矩转换的来
2017年12月05日 03点12分
13
rhw200851
小吧您好,您不提醒真还没注意这个事情,我的理解是主力矩与质心的 X-Y 方向:显示的惯性矩才是我们实际要用的数据,但是后面的”沿[]“中括号的里数据代表什么意思呢,中午自己试了一下也没搞清楚?
2017年12月08日 05点12分
loupoo2
@rhw200851
这个【1 0】表示从坐标原点【0 0】至【1 0】方向轴也就是质心处x轴方向惯距,另一个同理。
2017年12月08日 10点12分
loupoo2
@rhw200851
cad求出的就是通过质心平行这个轴的惯距,所以说他是旋转后结果显示出来的
2017年12月08日 10点12分
1