level 3
乱了感觉斌
楼主
如题,由于论文需要,搞了一个算法,虽然简单,但自己水平有限,希望各位吧友帮忙看看。







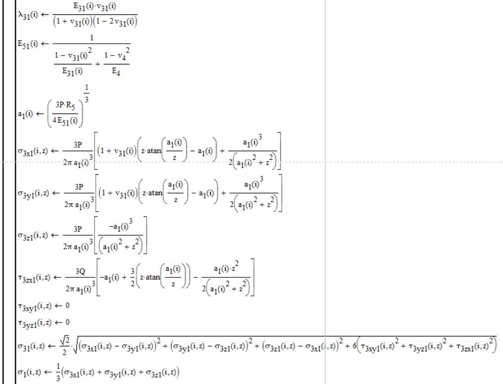
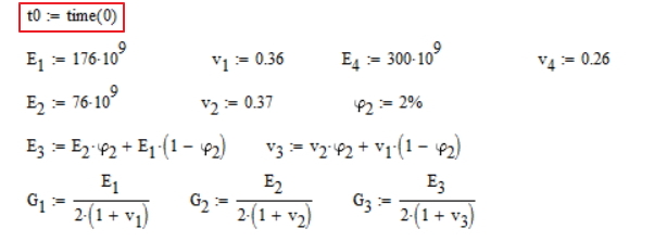
这是部分程序,完整程序见百度云
百度网盘
mathCAD版本为Mathcad 15 M045,系统为win10
式子看起来有点多,但是我最终目的是△(i),前面的式子相当于△(i)的推导或者说是参数
那我直接说问题
问题一:本人就是想求△(i),最后一行我写成数字1是由于:如果最后一行我写成△(i),则软件会不停的处理,必须按ESC才能终止,并且保存不了,所以在此先暂且写成数字1。所以我想知道哪出错了么?
问题二:我想求的是△(i)的叠加(此处并没有叠加),i从2开始一直到900,但是不知道该怎么写。
2017年10月09日 11点10分
1







这是部分程序,完整程序见百度云百度网盘
mathCAD版本为Mathcad 15 M045,系统为win10
式子看起来有点多,但是我最终目的是△(i),前面的式子相当于△(i)的推导或者说是参数
那我直接说问题
问题一:本人就是想求△(i),最后一行我写成数字1是由于:如果最后一行我写成△(i),则软件会不停的处理,必须按ESC才能终止,并且保存不了,所以在此先暂且写成数字1。所以我想知道哪出错了么?
问题二:我想求的是△(i)的叠加(此处并没有叠加),i从2开始一直到900,但是不知道该怎么写。



