mathcad 不定积分
mathcad吧
全部回复
仅看楼主
level 2
大块头潘
楼主
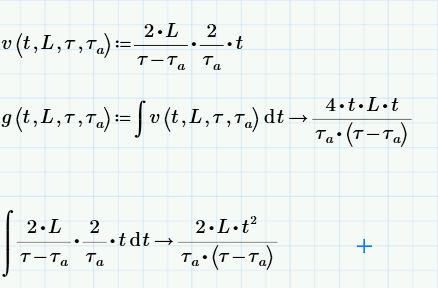
今天碰到个不定积分的问题,不知道这个是什么缘故。望哪位能够解答一下,问题出在哪里?
2017年09月25日 14点09分
1
level 8
wwwdongliting
计算正确啊
2017年09月26日 10点09分
2
大块头潘
为什么第二行计算结果与第三行计算结果不一致?
2017年10月02日 15点10分
level 15
月城翁
用MC15没有出现上述怪象。吧主剑客告诫我们:“珍惜生命,远离MP”。这大概是对剑客的话又提供了一个例证。
2017年10月02日 16点10分
3
大块头潘
感谢。
2017年10月03日 14点10分
level 2
大块头潘
楼主
这个错误很致命。
这里只是单独列举出了简单的例子。当时怎么排查都查不出哪里出了问题。因为毕竟是商业软件,很少怀疑他计算过程中会出问题。
2017年10月03日 14点10分
4
loupoo2
你难道不知道你上面公式是在偷梁换柱???怀疑是好,但不要总是认为自己发现了什么,这么简单的问题还有问题的话早就倒闭了
2017年10月06日 09点10分
netsonicyxf
@loupoo2
解释下
2017年10月08日 14点10分
1