【艾薇の数据贴】献给三周年——血族全卡库数据统计
血族bloodline手游吧
全部回复
仅看楼主
level 13
比那名居💕桃子
楼主
很久之前就想弄一个类似的贴子了,因三次元的事情一直被搁置。最近终于如愿以偿。于是准备将本贴送给吧友,也作为三周年献给血族的礼物,感谢血族陪伴艾薇的这段日子。
本贴分为两大部分:
ver1:全卡库面板统计/排名
ver:综合数据统计/排名
自己
镇楼
2017年07月15日 12点07分
1
level 13
比那名居💕桃子
楼主
二楼自占备用
2017年07月15日 12点07分
2
比那名居💕桃子
补充:ver1的一心忘了上色,大家凑合看吧
2017年07月15日 12点07分
level 12
浮生百梦♬
不看
2017年07月15日 12点07分
3
level 11
君名💤
赶紧占个楼?
2017年07月15日 12点07分
4
level 13
比那名居💕桃子
楼主
提前声明:
1、本贴全部数据均来自血族官网。(除了雪奈的数据,官网是战神,这里选用自己的毕业饮命雪奈数据)
2、ver1的第二部分,以及ver2的所有计算均含有主观色彩,意见不合的希望求同存异。
3、本贴拒绝一切撕比,不服者请提前左上角不谢
2017年07月15日 12点07分
5
瑚渊💧景瀚
其实每个职业的转职属性都是一样的
2017年07月15日 13点07分
贴吧用户_QREPVQD
@瑚渊💧景瀚
胡说,战神跟饮命的就不一样
2017年07月15日 13点07分
瑚渊💧景瀚
@贴吧用户_QREPVQD
战神多15攻击力
2017年07月15日 13点07分
比那名居💕桃子
回复 小封✨X :饮命、忍者、武姬这三个转职的面板都稍微高一些(200到300左右)
2017年07月15日 14点07分
level 13
比那名居💕桃子
楼主
ver1:全卡库面板统计/排名
第一部分。
这里统计了全卡库的数据如下:
ps:输出按基础面板排名,战神和辅助按基础血量排名
2017年07月15日 12点07分
6
贴吧用户_QEA2QCM
忍者雷姬攻击更高
2017年07月15日 12点07分
比那名居💕桃子
回复 许愿妖刀圣剑💫 这是官网的数据。。我直接照搬的,像武姬狩和安琪儿的数据也没有
2017年07月15日 12点07分
贴吧用户_QEA2QCM
@比那名居💕桃子
avdjj么么哒
2017年07月15日 12点07分
瑚渊💧景瀚
然后黛丝攻击都有万四了
2017年07月15日 13点07分
level 11
红屋丶九道
AVDJJ攻潜没满20差评
2017年07月15日 12点07分
7
level 11
简老师☔
现在水贴成本真高
2017年07月15日 12点07分
8
level 13
比那名居💕桃子
楼主
坦克
2017年07月15日 12点07分
9
鱿鱼丝º
犀利欧不愧是特化了减伤的坦,不管其他属性,我就血多就行了
2017年07月15日 14点07分
佛係壮年🔥
话说乌龟洗什么潜能阿?难道不是血吗
2017年07月15日 23点07分
上官云月
山姥是攻击潜能吧
2017年07月15日 23点07分
比那名居💕桃子
回复 鳖说话Ω口我 :这个是官网的数据。一般t都是洗血的,菲娜除外
2017年07月15日 23点07分
level 13
比那名居💕桃子
楼主
辅助
2017年07月15日 12点07分
10
Bryona
所以…祭歌的防御只有天使和乌龟能比
2017年07月16日 01点07分
成步堂☞
朱雀不是20攻?
2017年07月16日 14点07分
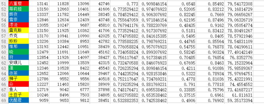
level 13
比那名居💕桃子
楼主
ver1第二部分。
这里对所有卡进行加权然后算出分值。所有的计算皆源于基础面板,不计算一切技能和转职。
输出:对照17000攻,13000防,20000回,50000血。加权70攻+20血+7防
+3
回。
坦克:对照14000攻,17000防,15000回,60000血。加权10攻+30防+50血+10回。
辅助:对照14000攻,17000防,20000回,50000血。加权30攻+10防+50血+10回
2017年07月15日 12点07分
11
level 12
Pa77erns
前排
2017年07月15日 12点07分
12
level 13
比那名居💕桃子
楼主
下面是输出的加权后排名
2017年07月15日 12点07分
13
level 13
比那名居💕桃子
楼主
下面是坦克和辅助的加权后排名
2017年07月15日 12点07分
14
比那名居💕桃子
下水道瞩目
2017年07月15日 14点07分
level 13
比那名居💕桃子
楼主
ver1完毕。下面准备ver2的内容,晚点再更
2017年07月15日 12点07分
15
1
2
3
4
尾页