【一元积分】求助 5.20天津竞赛的一个题
高等数学吧
全部回复
仅看楼主
level 11
Q。
楼主
2017年05月22日 09点05分
1
level 11
Q。
楼主
dd
2017年05月22日 10点05分
2
Q。
dd
2017年05月22日 10点05分
Q。
@Q。
dd
2017年05月22日 11点05分
Q。
@Q。
dd
2017年05月22日 11点05分
Q。
dddddd
2017年05月22日 15点05分
level 11
超级马里奥045
2017年05月22日 12点05分
4
Q。
...后面呢。。我做的话还是得到开始我说的那个式子,,,谢谢大神了
2017年05月22日 12点05分
超级马里奥045
digamma和eulergamma\(^o^)/~的和,就是hamonicnumber
2017年05月23日 04点05分
Q。
@超级马里奥045
......大神觉得我能看懂你说的吗
2017年05月23日 05点05分
level 12
parkteng2011
怎么觉得这个是水经验的贴呢?
证明:
令 1 - x /2017 = t , 有
原式 = (0,1) ∫ [ ( 1-t^2017)/(1-t) ] dt
= (0,1) ∫ [ 1 + t + t^2 + ... + t^2016 ] dt
= (0,1) ∫ [ 1 + t + t^2 + ... + t^2016 ] dt
= 1 + 1/2 + 1/3 + ... + 1/2017
2017年05月23日 00点05分
10
Q。
谢谢了
,不是水经验,我没换元,直接算的得到了上面那个,换元就简单了,感谢
2017年05月23日 00点05分
level 9
◎板蓝根◎
2017年05月23日 00点05分
12
◎板蓝根◎
发完才发现已经有人做出来了233
2017年05月23日 00点05分
Q。
是的是的,已经懂了,开始智障了,谢谢了
2017年05月23日 00点05分
level 13
电音⚡
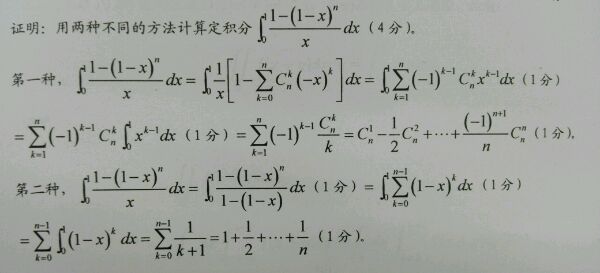
搬运一下,
2017年05月26日 05点05分
13
Q。
谢谢
2017年05月26日 06点05分
1