求大神
desmos吧
全部回复
仅看楼主
level 2
窝子不吃羊驼草
楼主
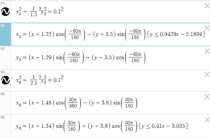
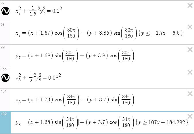
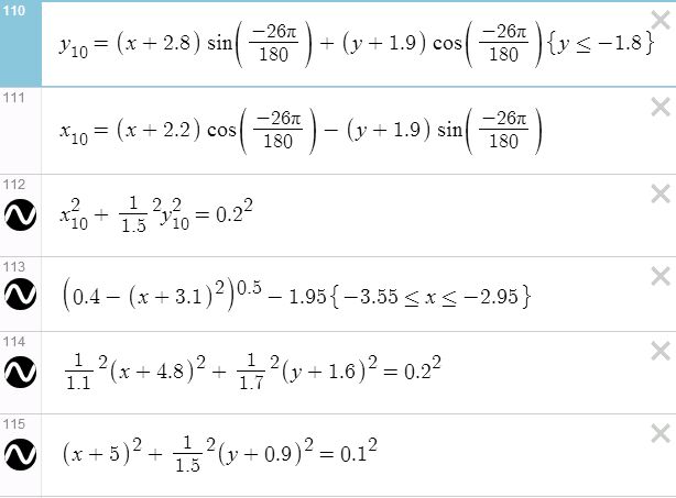
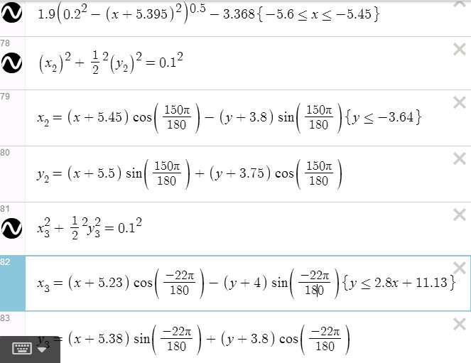
有人会画这个么,求全部公式
2017年05月13日 07点05分
1
level 6
zjhnn4
2017年05月30日 09点05分
2
level 6
zjhnn4
2017年05月30日 09点05分
3
level 6
zjhnn4
2017年05月30日 09点05分
4
level 6
zjhnn4
我挑战了一下,大脑要炸了
2017年05月30日 09点05分
5
窝子不吃羊驼草
我,基本,画完了
2017年05月30日 12点05分
窝子不吃羊驼草
谢谢~
2017年05月30日 12点05分
窝子不吃羊驼草
画的比我好太多
2017年05月30日 12点05分
可爱的大尸兄
回复 窝子不吃羊驼草 :如果我只要派大星的话怎么做
2018年01月08日 23点01分
level 1
嘻嘻🌝🌝🌝
大神大神
2017年10月08日 05点10分
6
level 3
xhajb💢
拿!
2018年01月03日 06点01分
7
1