问一个关于狭义相对论的问题
cloudk吧
全部回复
仅看楼主
level 13
VICTORDOTA 楼主
如果有一艘飞船以 0.8c 的速度相对于地面沿x轴方向匀速运动,某一时刻从飞船上沿y轴方向(竖直向上)抛出一个相对于飞船速度为 0.8c 的小球,那么小球相对于地面的速度是多少?
2017年04月27日 01点04分 1
level 13
VICTORDOTA 楼主
直接合成的话就是√2×0.8c ……不知道该怎么算[委屈]
2017年04月27日 01点04分 2
level 13
VICTORDOTA 楼主
庆祝自己水到了11级[你懂的]
2017年04月27日 12点04分 3
level 13
额 直接合成…你是一点不懂相对论了?
2017年04月27日 19点04分 4
额,因为直接合成会超过光速,所以我知道不能直接合成。但是却不知道该怎么处理这个问题……
2017年04月27日 23点04分
怪我自己没认真看书
2017年04月28日 00点04分
level 9
嘿,悄悄地告诉你,相对论里的速度合成其实是这样的……
2017年04月27日 19点04分 5
原来有公式啊……
2017年04月27日 23点04分
没看懂……(>﹏<)
2017年04月27日 23点04分
@VICTORDOTA 晕。。。多看看书吧
2017年04月27日 23点04分
@桐生萌郁♬ 哦,我看懂了。所以答案是0.93c。
2017年04月28日 00点04分
level 13
VICTORDOTA 楼主
翻了下书……发现有y、z轴方向的速度变换公式。我却只是把x轴的记下来了……[喷]
2017年04月28日 00点04分 6
level 13
我这里简单说说怎么算,这只是个洛伦兹变换的问题,书上肯定有公式,但是你要是对相对论了解到家不用翻书也知道怎么做。飞船上取一个坐标系记做{t',x',y',z'},地面取个坐标系记做{t,x,y,z}。在做洛伦兹变换的时候主要是要知道什么是洛伦兹不变量。这里小球的四速度就是洛伦兹不变量,因此任何标价下它可以写成V=V^μ*(∂/∂x^μ)。因此在这个问题里,在飞船系V=V'^μ*(∂/∂x'^μ),另一方面在地面系V=V^μ*(∂/∂x^μ),既然V不变,因此按照偏微分法则显然就有V^μ=V'^ν*(∂x^μ/∂x'^ν)。注意这里的地面系x^μ和x^ν之间就是一个沿着x轴方向的洛伦兹变换,这个变换你是能写出来的,所以就不难算出(∂x^μ/∂x'^ν)这个雅可比矩阵。而这里的V'^μ是小球相对于飞船的四速度,是知道的即V'^μ={1,0,0.8,0},所以你都代进去就能算出V^μ的各个分量。最后注意一点,你算的V^μ各个分量是四速度的分量,而真正能观测到的是三速度,即dx^i/dt,所以按照四速度的变换规则V在地面系的形式V={γ,γv},所以你刚才算出来的V^μ的分量还要把γ除掉才是要的结果。
2017年04月28日 06点04分 7
这里把光速取为c=1
2017年04月28日 06点04分
@CloudK 谢谢云娘~不过……我没看懂这些式子怎么来的[吐舌](现在刚刚大一,高数学已经了偏导数,感觉好像白学了[泪]
2017年04月29日 05点04分
回复 VICTORDOTA :因为矢量本身是坐标变换不变量,所以矢量分量满足这里给的坐标变换关系。最简单的一个练习,考虑二维平面,一个矢量的分量是{x,y},如果现在把坐标系绕着原点转动θ角,那么这个矢量在新坐标系下分量和老坐标系下分量是什么关系?Lorentz变换也是类似于此,
2017年04月29日 06点04分
回复 VICTORDOTA :你要是实在不明白可以说哪里不懂…
2017年04月29日 06点04分
level 13
其实还有个办法可以很快算出结果,关键是要知道四速度内积也是洛伦兹不变的,而且洛伦兹变换是等度规变换。知道这两点你就可以写出小球四速度内积,用飞船系表达:η'_μν*V'^μ*V'^ν;用地面系表达:η_μν*V^μ*V^ν;内积洛伦兹不变使得:η'_μν*V'^μ*V'^ν=η_μν*V^μ*V^ν;等度规变换又有η_μν=η'_μν。因此这个等式就可以写成:-1+0.64=-γ^2+γ^2*v^2,这里v是小球在地面系的三速度,γ=1/0.6=5/3,带进去就算得v=0.885,所以你就算出来小球在地面系的三速度大小。但是你必须按照之前的办法算出它的分量才知道它的方向。
2017年04月28日 07点04分 8
就用你这方法算出来也是0.93c,人家孩子算的没错啊,倒是你忘开根号了。。
2017年04月30日 01点04分
回复 Vegalois :哦?是么?难道是我忘记开房了啊
2017年04月30日 04点04分
回复 CloudK :哈哈,芸娘竟然忘记开房[笑眼]
2017年04月30日 05点04分
@CloudK 所以这里的“-1+0.64=-γ^2+γ^2*v^2”也不对了,左边应该是-1(这是必然的,因为四速度是类时单位矢量)。然后这个公式不会给出有用信息,因为右边项中的γ其实不是洛伦兹变换中的γ,而是与粒子在地面系中的三速相关的γ,也就是sqrt(1-v^2),因此,该公式的右边恒等于-1
2017年07月25日 07点07分
level 13
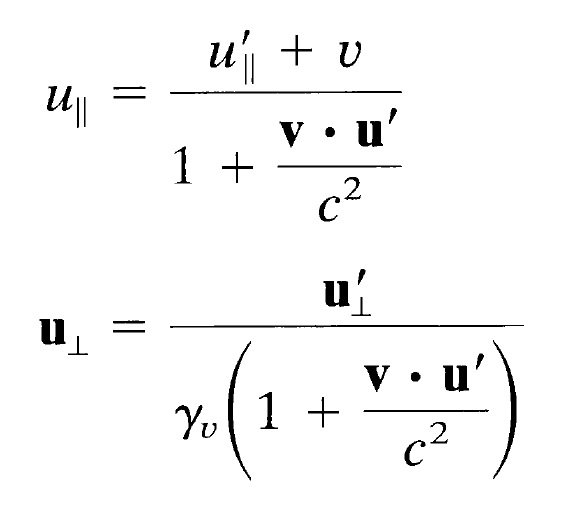
VICTORDOTA 楼主
@CloudK 书上写的
2017年05月10日 14点05分 9
一个是Lorentz变换另一个是逆变换……偏导数求完就是γ……
2017年05月10日 14点05分
1